含義及計算
含義
內部一致性信度(internal consistency reliability),也叫做內部一致性係數(coefficient of internal consistancy)、同質性信度(homogeneity reliability),它是指測驗內部所有題目間的一致性程度。
這裡的“一致性”指的是分數的一致,而非題目內容或形式的一致。因此,若測驗的各個題目得分有較高的正相關時,不論題目內容和形式如何,測試都是同質的;相反,即使所有題目看起來都好像測量同一特質,但分數相關很低時,這個測驗就是異質的。
內部一致性信度主要反映的是測驗內部題目之間的信度關係,考察測驗的各個題目是否測量了相同的內容或特質。
說明
複本法適用於許多測驗,尤其是能力測驗(學業能力,智力,特殊能力)。但是,為測驗建立複本通常花費較高,而且很難順利編制。於是,研究者就把測驗項目劃分成不同的樣本,從而間接地考慮一致性信度,這就是內部一致法(method of internal consistency)。
但是,內部一致性係數(internal consistency coefficients)並不能反映這些誤差。因此,不能把內部一致性係數等同於真正的重測信度或複本信度。
計算
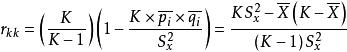
基本公式
測量同質性的基本公式如下:
內部一致性信度
內部一致性信度
內部一致性信度其中K為構成測驗項目數, 為項目間相關係數的平均數, 為同質性信度值。
庫—理信度係數
庫德 (G. F. Kuder)和理查遜 (M. W. Richardson)提出了一系列公式來估計測驗的信度,但只適用於答對一題得一分、答錯無分的測驗。
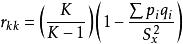
1)K-R公式:
內部一致性信度式中K表示構成測驗的題目數,p為通過第i題的人數比例,q為未通過第i題的人數比例,為測驗總分的變異數
2)K-R21公式
內部一致性信度
內部一致性信度
內部一致性信度式中K為構成測驗的題目數, 為測驗總分的平均數, 為測驗總分的變異數。
克倫巴赫α係數
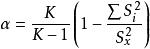
針對項目多重記分的測驗,克倫巴赫(L. J. Cronbach)提出α係數的方法,其公式為:
內部一致性信度
內部一致性信度
內部一致性信度式中K為測驗的題目數, 為某一題目的變異數, 為測驗總分的變異數。
相關書籍克倫巴赫α係數是學術界普遍使用內部一致性係數(Cronbachα)檢驗量表的內部一致性信度。Hair,Anderson,Taehan,eta1.(1988)指出,內部一致性係數大於0.7表明量表的可靠性較高;在探索性研究中,內部一致性係數可以小於0.7,但應大於0.6;Peter(2002)指出,問項數量小於6個時,內部一致性係數大於0.6,表明量表是有效的。本研究利用各個潛變數的Cronbachα係數處於0.793~0.931(見下表),都超過了0.7可接受水平,表明各個概念的量表都具有較高的可靠性。
各概念量表Cronbachα係數
| 量表名稱 | 問項數 | Cronbachα係數 |
| PM | 3 | 0.909 |
| NM | 4 | 0.907 |
| MMM | 4 | 0.931 |
| MRM | 3 | 0.913 |
| BR | 3 | 0.793 |
| SC | 3 | 0.820 |
| UR | 4 | 0.804 |
| PL | 4 | 0.892 |
| AR | 4 | 0.899 |
荷伊特信度
1941年荷伊特(C. Hoyt)提出用分差分量比來衡量測驗內部一致性的方法,公式如下:
r=1-MS/MS
式中MS是同人與人間差別有關的均方差,MS是同人與題目互動作用有關的均方差。
因素分析
有些測量學家認為因素分析是決定測驗同質性的最好方法,特別是當測驗明顯測量的是幾個不同的特質時,其具體方法如下:
先建立每個被試在每個題目上得分的資料矩陣,再建立所有題目間的相關矩陣,然後對每一組有相關的題目命名一個因素。
現在,一般研究人員只需掌握因素分析法的基本原理,藉助計算機進行演算,並能對計算機運算後輸出的結果進行解釋就可以了;無需耗費時間和精力在算數演練上。
綜合信度ρo係數分析
另一種評價內部一致性信度的方式是利用各個潛變數的綜合信度ρ o係數,具體可接受的標識綜合信度ρ o係數是0.7(Chin,1988;Barclay,Higgins,&Thompson,1995)。從下表可以看出,綜合信度ρ o係數為0.740~0.905,均超過了0.7可接受水平。
驗證性因子分析檢驗結果
| 潛變數 | 觀測變數 | 標準化路徑係數 | T值 | 綜合信度ρ o係數 | AVE值 |
| PM | PM1 | 0.85 | 0.881 | 0.712 | |
| PM2 | 0.80 | 16.58 | |||
| PM3 | 0.88 | 18.82 | |||
| NM | NM1 | 0.79 | 0.0904 | 0.702 | |
| NM2 | 0.87 | 17.27 | |||
| NM3 | 0.85 | 16.75 | |||
| NM4 | 0.84 | 16.55 | |||
| MMM | MMM1 | 0.78 | 0.894 | 0.677 | |
| MMM2 | 0.86 | 16.57 | |||
| MMM3 | 0.84 | 16.10 | |||
| MMM4 | 0.81 | 15.40 | |||
| MRM | MRM1 | 0.85 | 0.904 | 0.736 | |
| MRM2 | 0.91 | 20.48 | |||
| MRM | 30.85 | 18.74 | |||
| BR | BR1 | 0.77 | 0.815 | 0.668 | |
| BR2 | 0.83 | 14.15 | |||
| BR3 | 0.71 | 12.19 | |||
| SC | SC1 | 0.81 | 0.848 | 0.783 | |
| SC2 | 0.83 | 15.27 | |||
| SC3 | 0.78 | 14.44 | |||
| UR | UR1 | 0.76 | 0.833 | 0.556 | |
| UR2 | 0.79 | 13.26 | |||
| UR3 | 0.72 | 12.19 | |||
| UR4 | 0.71 | 12.00 | |||
| PL | PL1 | 0.79 | 0.905 | 0.706 | |
| PL20.90 | 18.06 | ||||
| PL3 | 0.91 | 18.33 | |||
| PL4 | 0.75 | 14.33 | |||
| AR | AR1 | 0.77 | 0.891 | 0.671 | |
| AR2 | 0.91 | 17.17 | |||
| AR3 | 0.81 | 15.36 | |||
| AR4 | 0.78 | 14.59 | |||
| IB | IB | 0.86 | 0.740 | 0.740 |
註:*表示該數值在計算過程被設定為1,因此沒有T值。
從上述兩方面的信度指標分析結果來看,所有概念的量表都滿足最低要求,這充分說明本研究所使用的量表具有良好的內部一致性信度。
存在的問題
內部一致性估計是有用的信度量數,因為它只測量一次,因此可以排除記憶和練習的效果。然而,也存在一定的問題:
1)它們只可在測量單一特質的測驗上使用。
e.g.它們可用於拼音測驗,但不能用在包含拼音、閱讀理解和作文等部分的語文測驗。
2)當套用在速度測驗上時,內部一致性量數會有信度估計膨脹的現象。
因為速度測驗都是簡單或相對簡單的題目,並且要在限制時間內完成。在這樣的測驗中,受測者應該可以答對他所作答的大多數題目,因此內部一致性都會很高。

