定義
一般地,設函式f(x)的定義域為I,如果對於定義域I內的某個區間D上的任意兩個自變數的值x1,x2,當x1<x2時,都有f(x1)> f(x2),那么就說f(x)在區間D上是減函式。 即隨著自變數x增大,函式值y減小的函式為減函式。
單調性
單調性的定義
如果函式y=f(x)在區間D上是增函式或減函式,那么就或函式y=f(x)在這一區間具有(嚴格的)單調性,區間D就叫做函式y=f(x)的單調區間。
單調性的證明
用定義法證明單調性的步驟:
(1)任取x1,x2∈D,且滿足x1<x2;
(2)作差f(x1)-f(x2);
(3)變形(通常是因式分解和配方);
(4)定號(即判斷f(x1)-f(x2)的正負);
(5)下結論(指出函式f(x)在給定的區間D上的單調性)。
在證明函式為減函式時,只需要證明:當x1<x2時f(x1)-f(x2)>0。在減函式的圖像中,函式圖像從左往右是下降的,即函式值隨自變數的增大而減小。
單調性的判斷方法
(1)定義法:即“取值(定義域內)→作差→變形→定號→判斷”;
(2)圖像法:先作出函式圖像,利用圖像直觀判斷函式的單調性;
(3)直接法:就是對於我們所熟悉的函式,如一次函式、二次函式、反比例函式等,直接寫出它們的單調區間。
(4)求導法:假定函式f在區間[a,b]上連續且在(a,b)上可微,若每個點x∈(a,b)有f'(x)>0,則f在[a,b]上是遞增的;若每個點x∈(a,b)有f'(x)<0,則f在[a,b]上是遞減的。
注意事項
(1)函式的單調性是對函式定義域內的某個子區間而言的,是函式的局部性質;
(2)函式f(x)在給定區間上的單調性是函式在該區間上的整體性質;
(3)函式的單調性定義中x1,x2有三個特徵:任意性、有大小、屬於同一個單調區間;
(4)求函式的單調區間,必須先求定義域。
(5)區間端點的寫法:對於單獨的一點,由於它的函式值是唯一確定的常數,沒有增減變化,所以不存在單調性問題,因此在寫單調區間時,可以包括端點,也可以不包括端點,但對於某些點無意義時,單調區間就不包括這些點。
性質
(1)增函式+增函式=增函式;
(2)減函式+減函式=減函式;
(3)增函式-減函式=增函式;
(4)減函式-增函式=減函式。
實例
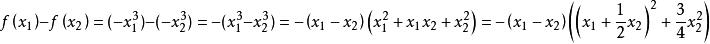
判斷函式y=-x^3的單調性。
解:易得該函式是整函式,故定義域為R。
(1)利用定義法來判斷該函式的單調性。
任取x1,x2∈R,且滿足x1<x2,則有:
減函式最終兩個因式中第一個因式小於零,第二個因式恆大於零,且兩因式前有一個負號,故有f(x1)-f(x2)>0,即有:當x1-x2<0時,有f(x1)-f(x2)>0,故該函式在R上為減函式。
(2)利用圖像法來判斷。
y=x^3的圖像對於常見函式y=x^3的圖像,如右圖所示,易得該函式圖像從左往右看是上升的趨勢,故該函式在定義域R上為增函式。而函式y=-x^3與y=x^3相差一個負號,在圖象表示為關於x軸對稱,故易得函式y=-x^3的圖像從左往右看是下降的趨勢,因此函式y=-x^3在定義域R上為一個減函式。
(3)利用求導法來判斷。
減函式對函式進行求導,得恆成立,故有該函式在定義域R上為減函式。

