函式形式
含參變數α(α>0)的反常積分:
Г函式性質
收斂性
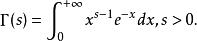
Г函式Φ(s)的收斂性:當s≧1時是正常積分,所以其收斂;當0〈s〈1時,由柯西判別法可推得其是收斂的。
Ψ(s)的收斂性:當s〉0時,由柯西判別法推得其是收斂的。
故含參量積分Γ(x)在s〉0時收斂,其定義域為s〉0。
連續性
Г函式
Г函式
Г函式
Г函式在任何閉區間[a,b](a>0)上,對於函式Φ(s),當0〈x≦1時有 ≦ ,由於 收斂,從而Φ(s)在[a,b]上收斂;對於Ψ(s),當1≦x〈+∞時,有 ≦ ,由於 收斂,從而Ψ(s)在[a,b]上也一致收斂。於是Γ(s)在s〉0上連續。
可導性
Г函式
Г函式考察積分 = 。它在任何區間[a,b](a〉0)上一致收斂。於是由含參量反常積分的可微性得出Γ(s)在[a,b]上可導,由a,b的任意性,Γ(s)在s〉0上可導。
遞推公式
Г函式證明:
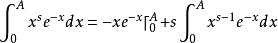
對下述積分套用分布積分法,有
Г函式
Г函式
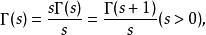
Г函式令 就得到Γ函式的遞推公式:
Г函式推論:
Г函式
Г函式當s趨於0時, Γ(s)趨於+∞
Г函式
Г函式Γ函式的圖像
Г函式
Г函式
Г函式
Г函式
Г函式
Г函式
Г函式
Г函式
Г函式
Г函式
Г函式
Г函式對於一切 , 和 恆大於0,因此 的圖像位於s軸的上方,且是向下凸的。因為 ,所以 在 上僅存在的極小值點 且 。又 在 內嚴格增,在 內嚴格減。
由於
Г函式
Г函式所以
Г函式
Г函式
Г函式
Г函式由 和 在 上嚴格增可得:
Г函式
Г函式
Г函式綜上所述, 函式的圖像如圖1中s>0部分所示 。
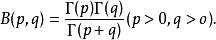
圖1.伽馬函式Γ函式與Β函式之間的關係
對於任意的實數p,q:
Г函式套用
Г函式
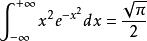
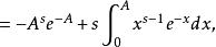
Г函式已知 ,試證 。
證明:
Г函式
Г函式
