原理
以Adobe Photpshop畫筆工具為例說明其原理。
任意打開一幅圖,選擇畫筆工具,選擇合適的筆刷。設定不同的模式在圖像上繪畫,即可得到不同的效果。
為了敘述方便,暫且將原圖像中的顏色稱之為“ 底色A”畫筆的顏色為“ 繪圖色B”,將通過混合模式得到的最後顏色稱為“ 最終色C”。
圖形計算公式各種模式
正常模式(Normal)
是默認的狀態,其最終色和繪圖色相同。可通過改變畫筆工具選項欄中的“不透明度”來設定不同的透明度。當圖像的顏色模式是“點陣圖”或“索引顏色”時,“正常”模式就變成“閾值”模式。
在基色存在透明度a%時,混合的運算方式是:最終色=基色*a% + 混合色*(1-a%)。
溶解模式(Dissolve)
最終色和繪圖色相同,只是根據每個像素點所在的位置的透明度的不同,可隨機以繪圖色和底色取代。透明度越大,溶解效果就越明顯。
使用這種模式,像素仿佛是整個的來自一幅圖像或是另一幅,看不出有什麼混合的跡象,如果你想在兩幅圖像之間達到看不出混合跡象的效果,而又能比使用溶解模式擁有更多的對圖案的控制,那么可以在最上面圖層上建一個圖層蒙版並用純白色填充它。這種效果對模擬破損紙的邊緣或原圖的 “潑濺”類型是重要的。
背後模式(Behind)
最終色和繪圖色相同。當在有透明區域的圖層上操作時背後模式才會出現,可將繪製的線條放在圖層中圖像的後面。
這模式被用來在一個圖層內透明的部分進行塗畫;但當圖層里的“保持透明區域”選中時就不可用了。 它只可以在你用塗畫工具(畫筆,噴槍,圖章,歷史記錄畫筆,油漆桶)或是填充命令在圖層內的一個對象之後畫上陰影或色彩。
清除模式(Clear)
同背後模式一樣,當在圖層上操作時,清除模式才會出現。利用清除模式可將圖層中有像素的部分清除掉。當有圖層時,利用清除模式,使用噴漆桶工具可以將圖層中的顏色相近的區域清除掉。可在噴漆桶工具的選項欄中設定“預值”以確定噴漆桶工具所清除的範圍。工具選項欄中的“用於所有圖層”選項在清除模式下無效。
(附:在正常圖層下,EDIT/CLEAR用透明填充的區域;在背景圖層下,EDIT/CLEAR用背景顏色來填充選擇的部分)
變暗系
變暗模式(Darken)
混合模式公式:
與Lighten相反,將兩個圖像中更暗的那個被選來作為結果。
用於查找各顏色通道內的顏色信息,並按照像素對比底色和繪圖色,那個更暗,便以這種顏色作為此圖像最終的顏色,也就是取兩個顏色中的暗色作為最終色。亮於底色的顏色被替換,暗於底色的顏色保持不變。
正片疊底(Multiply)
混合模式公式:
此模式就象是將兩副透明的圖像重疊夾在一起放在一張發光的桌子上。
將兩個顏色的像素值相乘,然後除以255得到的結果就是最終色的像素值。通常執行正片疊底模式後的顏色比原來兩種顏色都深。任何顏色和黑色正片疊底得到的仍然是黑色,任何顏色和白色執行正片疊底則保持原來的顏色不變,而與其他顏色執行此模式會產生暗室中以此種顏色照明的效果。
在MuItiply模式 中套用較淡的顏色對圖像的最終像素顏色沒有影響。 MuItiply模式模擬陰影是很捧的。現實 中的陰影從來也不會描繪出比源材料(陰影)或背景(獲得陰影的區域)更淡的顏色或色調的 特徵。用戶將在本章中使用MuItiply模式在恢復的圖像中對Lee加入一個下拉陰影。
在RGB模式下,每一個像素點的色階範圍是0-255,純黑色的色階值是0,純白色的色階值是255。
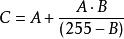
顏色加深模式(Color Burn)
混合模式公式:
查看每個通道的顏色信息,通過增加“對比度”使底色的顏色變暗來反映繪圖色,和白色混合沒變化。
除了背景上的較淡區域消失,且圖像區域呈現尖銳的邊緣特性之外,這種Color Burn模式創建的效果類似於由MuItiply模式創建的效果。
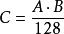
線性加深模式(Linear Burn)
公式:C=A+B-255
查看每個通道的顏色信息,通過降低“亮度”使底色的顏色變暗來反映繪圖色,和白色混合沒變化。
深色模式(Darker Color)
公式:rB+gB+bBrB+gB+bB>=rA+gA+bA 則 C=A
比較混合色和基色的所有通道值的總和並顯示值較小的顏色。“深色”不會生成第三種顏色(可以通過“變暗”混合獲得),因為它將從基色和混合色中選取最小的通道值來創建結果色。
變亮系
增加模式(Add)
公式:C=Min(255,A+B)
是將原始圖像及混合圖像的對應像素取出來並加在一起;
變亮模式(Lighten)
公式:C=Max(A,B)
與Darken相反,取兩個像素中更亮的作為結果。
查看每個通道的顏色信息,並按照像素對比兩個顏色,那個更亮,便以這種顏色作為此像素最終的顏色,也就是取兩個顏色中的亮色作為最終色。繪圖色中亮於底色的顏色被保留,暗於底色的顏色被替換。
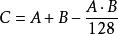
濾色模式(Screen)
混合模式公式:
作用結果和正片疊底剛好相反,它是將兩個顏色的互補色的像素值相乘,然後除以255得到的最終色的像素值。通常執行濾色模式後的顏色都較淺。任何顏色和黑色執行濾色,原色不受影響;任何顏色和白色執行濾色得到的是白色;而與其他顏色執行濾色會產生漂白的效果。
此螢幕模式對於在圖像中創建霓虹輝光效果是有用的。如果在層上圍繞背景對象的邊緣塗了白色(或任何淡顏色),然後指定層Screen模式,通過調節層的opacity設定就能 獲得飽滿或稀薄的輝光效果。
(附:在Screen和Multipy運算中的重點是----兩幅圖做Screen運算會加強亮的部分;做Multipy運算則會加強兩幅圖中暗的部分)
顏色減淡模式(Color Dodge)
混合模式公式:
查看每個通道的顏色信息,通過降低“對比度”使底色的顏色變亮來反映繪圖色,和黑色混合沒變化。
除了指定在這個模式的層上邊緣區域更尖銳,以及在這個模式下著色的筆畫之外, Color Dodge模式類似於Screen模式創建的效果。另外,不管何時定義color Dodge模式混合 前景與背景像素,背景圖像上的暗區域都將會消失。
線性減淡模式(Linear Dodge)
公式:C=A+B
查看每個通道的顏色信息,通過增加“亮度”使底色的顏色變亮來反映繪圖色,和黑色混合沒變化。
淺色模式(Lighter Color)
rB+gB+bBrB+gB+bB>=rA+gA+bA 則 C=B
比較混合色和基色的所有通道值的總和並顯示值較大的顏色。“淺色”不會生成第三種顏色(可以通過“變亮”混合獲得),因為它將從基色和混合色中選取最大的通道值來創建結果色。
飽和度系
疊加模式(Overlay)
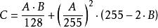
混合模式公式:當A<=128時,;
混合模式當A>128時,
在保留底色明暗變化的基礎上使用“正片疊底”或“濾色”模式,繪圖的顏色被疊加到底色上,但保留底色的高光和陰影部分。底色的顏色沒有被取代,而是和繪圖色混合來體現原圖的亮部和暗部。使用此模式可使底色的圖像的飽和度及對比度得到相應的提高,使圖像看起來更加鮮亮。
這種模式以一種非藝術邏輯的方式把放置或套用到一個層上的顏色同背景色進行混 合,然而,卻能得到有趣的效果。背景圖像中的純黑色或純白色區域無法在Overlay模式下 顯示層上的Overlay著色或圖像區域。背景區域上落在黑色和白色之間的亮度值同0verlay 材料的顏色混合在一起,產生最終的合成顏色。為了使背景圖像看上去好像是同設計或文本 一起拍攝的,Overlay可用來在背景圖像上畫上一個設計或文本。
柔光模式(Soft Light)
混合模式公式:當B<=128時, ;
混合模式當B>128時,
根據繪圖色的明暗程度來決定最終色是變亮還是變暗,當繪圖色比50%的灰要亮時,則底色圖像變亮。當繪圖色比50%的灰要暗時,則底色圖像就變暗。如果繪圖色有純黑色或純白色,最終色不是黑色或白色,而是稍微變暗或變亮。如果底色是純白色或純黑色,不產生任何效果。此效果與發散的聚光燈照在圖像上相似。
強光模式(Hard Light)
混合模式
混合模式公式:當B<=128時, ;當B>128時,
根據繪圖色來決定是執行“正片疊底”還是“濾色”模式。當繪圖色比50%的灰要亮時,則底色變亮,就執行“濾色”模式一樣,這對增加圖像的高光非常有幫助;當繪圖色比50%的灰要暗時,則底色變暗,就執行“正片疊底”模式一樣,可增加圖像的暗部。當繪圖色是純白色或黑色時得到的是純白色和黑色。此效果與耀眼的聚光燈照在圖像上相似。像亮則更亮,暗則更暗。
這種模式實質上同Soft Lishi模式是一樣的。它的效果要比Soft Light模式更強烈一些,同Overlay一樣,這種模式 也可以在背景對象的表面模擬圖案或文本。
亮光模式(Vivid Light)
混合模式公式:當B<=128時, ;
混合模式當B>128時, ;
根據繪圖色通過增加或降低“對比度”,加深或減淡顏色。如果繪圖色比50%的灰亮,圖像通過降低對比度被照亮,如果繪圖色比50%的灰暗,圖像通過增加對比度變暗。
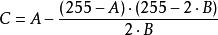
線性光模式(Linear Light)
公式:C=A+2*B-255
根據繪圖色通過增加或降低“亮度”,加深或減淡顏色。如果繪圖色比50%的灰亮,圖像通過增加亮度被照亮,如果繪圖色比50%的灰暗,圖像通過降低亮度變暗。
點光模式(Pin Light)
公式:當B>128時,C=Min(A,2*B-255)
根據繪圖色替換顏色。如果繪圖色比50%的灰要亮,繪圖色被替換,比繪圖色亮的像素不變化。如果繪圖色比50%的灰要暗比繪圖色亮的像素被替換,比繪圖色暗的像素不變化,點光模式對圖像增加特殊效果非常有用。
實色混合模式(Hard Mix)
公式:當A+B>=255時,C=255,否則為0
根據繪圖顏色與底圖顏色的顏色數值相加,當相加的顏色數值大於該顏色模式顏色數值的最大值,混合顏色為最大值;當相加的顏色數值小於該顏色模式顏色數值的最大值,混合顏色為0;當相加的顏色數值等於該顏色模式顏色數值的最大值,混合顏色由底圖顏色決定,底圖顏色值比繪圖顏色的顏色值大,則混合顏色為最大值,相反則為0.實色混合能產生顏色較少、邊緣較硬的圖像效果。
差集系
差值模式(Difference)
公式:C=|A-B|
查看每個通道中的顏色信息,比較底色和繪圖色,用較亮的像素點的像素值減去較暗的像素點的像素值。與白色混合將使底色反相;與黑色混合則不產生變化。
排除模式(Exclusion)
混合模式公式:
可生成和差值模式相似的效果,但比差值模式生成的顏色對比度較小,因而顏色較柔和。與白色混合將使底色反相;與黑色混合則不產生變化。
減去模式(Subtract)
公式:C=Max(0,A-B)
是將原始圖像與混合圖像相對應的像素提取出來並將它們相減。
劃分模式(Divide)
混合模式公式:
假設上面圖層選擇劃分,那么所看到的圖像是,下面的可見圖層根據上面這個圖層顏色的純度,相應減去了同等純度的該顏色,同時上面顏色的明暗度不同,被減去區域圖像明度也不同,上面圖層顏色的亮,圖像亮度變化就會越小,上面圖層越暗,被減區域圖像就會越亮。也就是說,如果上面圖層是白色,那么也不會減去顏色也不會提高明度,如果上面圖層是黑色,那么所有不純的顏色都會被減去,只留著最純的光的三原色,及其混合色,青品黃與白色。
顏色系
色相模式(Hue)
是採用底色的亮度、飽和度以及繪圖色的色相來創建最終色。
飽和度模式(Saturation)
是採用底色的亮度、色相以及繪圖色的飽和度來創建最終色。如果繪圖色的飽和度為0,則原圖沒有變化。
在把純藍色套用到一個灰暗的背景圖像中時,顯出了背景中 的原始純色,但藍色並未加入到合成圖像中。如果選擇一種中性顏色(一種並不顯示主流色 度的顏色),對背景圖像不發生任何變化。Saturation模式可用來顯出圖像中顏色強度已經由 於歲月變得灰暗的底層顏色。
顏色模式(Color)
是採用底色的亮度以及繪圖色的色相、飽和度來創建最終色。它可保護原圖的灰階層次,對於圖像的色彩微調、給單色和彩色圖像著色都非常有用。
亮度模式(Luminosity)
是採用底色的色相和飽和度以及繪圖色的亮度來創建最終色。此模式創建於顏色模式相反效果。
註: “差值”、“排除”、“色相”、“飽和度”、“顏色”和“明度”模式都不能與專色相混合,而且對於多數混合模式而言,指定為 100% K 的黑色會挖空下方圖層中的顏色。請不要使用 100% 黑色,應改為使用 CMYK 值來指定複色黑。

