方法介紹
混合有限元法(mixed finite element method)是一種有限元法,是基於 混合變分原理的有限元方法。混合有限元法的特點是同時選擇兩個基本未知函式,即位移函式和力函式。套用混合能量原理推導出混合有限元法基本方程。
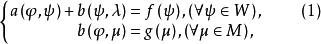
在混合變分原理中,未知函式除函式值本身外還有函式的導數,於是,混合有限元方法不僅要計算函式本身的近似值,同時也計算導數的近似值,因此適於需要計算函式本身及導數的科學與工程計算問題,高階方程可由降階以後再化為混合變分問題求解,故該方法適於高階方程求解,考慮混合變分問題:
混合有限元法求 ,使
混合有限元法
混合有限元法
混合有限元法
混合有限元法
混合有限元法
混合有限元法
混合有限元法其中W,M是兩個希爾伯特空間, 是定義在W×W上的連續雙線性泛函,且是強制的, 是定義在W×M上的連續雙線性泛函, (W的對偶空間), (M的對偶空間),設 分別為 的某一有限元子空間,則下述離散問題稱為(1)的 混合有限元逼近:
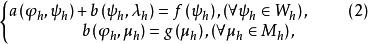
混合有限元法求 ,使
混合有限元法
混合有限元法
混合有限元法若雙線性泛函 是連續且強制的;雙線性泛函 是連續的,且
混合有限元法其中β是正的常數,則問題(2)存在惟一解(φ,λ),且
混合有限元法
混合有限元法條件(3)稱為LBB條件,它取自拉德仁斯卡婭(Лaдыжкенская,О.А.)(1949),巴布希卡 及布雷齊(Brezzi,F.)(1974)姓名的第一個字母 。
混合分區變分原理
混合模型或雜交模型只是在單元水平上採用混合法,而混合分區變分原理則是在結構整體水平上採用混合法。混合分區變分原理在理論上解決了兩類不同區域(余能區、勢能區)和兩類不同單元(應力元、位移元)並存及其耦合和收斂問題,在實際套用上(如求解含有應力集中的問題)是非常成功的。成功的原因是巧妙地把應力元與位移元、奇異元與常規元、解析解與數值解相結合,使每一種方法在各自的分區範圍內發揮其長處,從而獲得整體上的最佳效果。
混合分區變分原理構成了混合有限元法的基礎,其特點是將彈性體劃分為勢能區單元和余能區單元的混合分區體系,以勢能區的節點位移和余能區的應力參數作為基本未知量,套用混合分區變分原理導出分區混合有限元法的基本方程,並用於求解上述混合型基本變數。
套用混合分區變分原理:
混合有限元法=駐值 (4)
混合有限元法
混合有限元法
混合有限元法
混合有限元法
混合有限元法式中 是勢能區的位移參數, 是余能區的應力參數, 是勢能區的總勢能, 是余能區的總余能, 是余能區和勢能區交界面的附加能量。
由駐值條件
混合有限元法
混合有限元法
混合有限元法導出混合有限元法的基本方程,解出位移參數 和應力參數 。

