簡介
活力公式是指二體問題的一個積分公式。又稱能量積分 。
表示
活力公式表示軌道上任一點的動能與勢能之和為常數。
公式
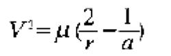
它描述了天體的位置、速度和橢圓軌道半長軸之間的關係,其表示式為:
活力公式式中V和r為一個天體相對另一個天體的速度和距離;a為橢圓軌道半長軸;μ=G(M+m),G為萬有引力常數,M和分別表示兩個天體的質量。
相關參數
這個公式表示,在二體問題中,天體運動的動能和引力勢能之和為常數。對於繞地球飛行的太空飛行器來說,太空飛行器質量m遠小於地球質量M,因此μ=G{M+m}~GM。這時μ稱為地球引力常數 。

