成份
本品主要成份為兩性黴素B;
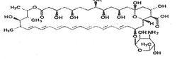
化學名稱:[1R-(1R*,3S*,5R*,6R*,9R*,11R*,15S*,16R*,17R*,18S*,19E,21E,23E,25E,27E,29E,31E,33R*,35S*,36R*,37S*)]-33-[(3-氨基-3,6-二氧基-b-D-甘露吡咯糖醯)氧基]-1,3,5,6,9,11,17,37-八羥基-15,16,18-三甲基-14,39-二氧雙環-[33.3.1]壬三十烷-19,21,23,25,27,29,31-庚烯-36-羧酸。
化學結構式:
注射用兩性黴素B脂質體分子式:CHNO
分子量:924.09
本品輔料為:膽固醇硫酸鈉、氨丁三醇、EDTA二鈉、單水乳糖、鹽酸。
性狀
本品為黃色凍乾無菌的塊狀物。
適應症
本品適用於患有深部真菌感染的患者;因腎損傷或藥物毒性而不能使用有效劑量的兩性黴素B的患者,或已經接受過兩性黴素B治療無效的患者均可使用。
規格
安浮特克(注射用兩性黴素B脂質體)為無菌凍乾粉,裝盛於一次性使用玻璃瓶中。每一瓶單獨包裝。
安浮特克 50mg 裝於20ml瓶(NDC66435-301-51)
安浮特克 100mg 裝於50ml瓶(NDC66435-302-01)
用法用量
對於成年人和兒童,根據要求可按3.0-4.0mg/kg/天的劑量使用。若無改善或真菌感染惡化,劑量可增至6mg/kg/天。
將溶解的本品用5%葡萄糖注射液稀釋,以1mg/kg/小時的速度作靜脈注射。在每一個療程的第一次用藥前建議作試驗注射,以少量藥(10ml稀釋液含有1.6-8.3mg)用15-30分鐘注射。再仔細觀察30分鐘。
如果患者可以忍受並無與輸注有關的反應,則輸注時間可縮短至不少於2小時,如果患者出現急性反應或不能耐受輸容積,則輸注時間要延長。
藥品溶解與輸注液準備的說明
本品必須用無菌注射用水溶解,用無菌注射器和20號針頭,按下述體積迅速加入瓶中,使每ml溶液含5mg兩性黴素B,用手輕輕搖動和轉動使所有固體溶解。注意液體可能呈乳色或透明。
50mg/瓶 加 10ml 無菌注射用水
100mg/瓶 加 20ml 無菌注射用水
如用於輸注,進一步稀釋上述溶解好的液體至終濃度約為0.6mg/ml(0.16-0.83mg/ml)。下表是稀釋的建議:(稀釋只能用5%葡萄糖注射液)
稀釋方法建議
安浮特克劑量 安浮特克重建體積 5%注射用葡萄糖輸注袋體積
10-35mg 2-7ml 50ml
35-70mg 7-14ml 100ml
70-175mg 14-35ml 250ml
175-300mg 35-70ml 500ml
350-1000mg 70-200ml 1000ml
不要使用生理鹽水或葡萄糖溶液來溶解凍乾粉,也不要將溶解好的溶液與生理鹽水或電解質混合。使用除上述建議溶液以外的其它溶液或是有殺菌劑(即苯甲醇)存在時,藥液中的本品可能導致出現沉澱。使用本品時,請不要過濾或使用有內置過濾器的輸液器。
不要將輸注液與其它藥物混合。如通過正在使用的輸液管,在給藥前用5%葡萄糖沖洗輸液管,或使用單獨的輸液管。
注射用藥在用藥前要用肉眼檢查是否有異物或變色。不要使用有沉澱或異物、或者原瓶密封有問題的藥品。由於凍乾粉和用於溶解與稀釋的溶液不含有防腐劑,配製藥液時必須始終嚴格無菌操作。
在用5%葡萄糖注射液進一步稀釋後,藥液須存於2-8℃並於24小時內使用,禁止冷凍,未用完的藥液必須丟棄。
不良反應
在5個開放臨床試驗中,共有572例患有深部菌感染患者,其中526例以3-6mg/kg的日劑量用本品給藥,不良反應總結如下表。同時下面也提供了110例使用本品(4或6mg/kg/天)和109例使用普通兩性黴素B(0.8或1mg/kg/天)的對比數據;他們因發熱和中性白細胞減少、或麴黴菌感染而用本品進行隨機雙盲的經驗治療。
與輸注有關的不良反應:急性不良反應在首次輸注本品時最為常見,其頻率和程度在後續給藥中降低。根據綜合的非對照試驗,35%(197/569)的患者在第一天用藥時出現寒顫、寒顫和/或發熱,可能與本品有關;而在第七天用藥時,只有14%(58/422)發生上述情況。在其它可對照試驗中,在使用本品和兩性黴素B的患者中有類似的降低趨勢。
與本品可能有關的不良反應在5%或更多的患者中發生。這種可能相關的不良反應總結如下表。
與本品可能相關的不良反應總結(發生率≥5%)
注射用兩性黴素B脂質體下列不良反應在5%或更多的使用本品的患者中出現,但是導致原因尚不清楚。
一般(全身):腹痛、腹脹、胸痛、背痛、注射部位炎症、面部浮腫、黏膜異常、疼痛、敗血症
心血管系統:心血管功能紊亂、出血、體位性低血壓
消化系統:腹瀉、口乾、嘔血、黃疸、口炎
血液及淋巴系統:貧血、凝血障礙、凝血酶原減少
代謝和營養障礙:水腫、全身性水腫、低鈣血症,低磷血症、周圍性水腫、體重增加
神經系統:精神錯亂(意識混亂)、眩暈、失眠、嗜睡、異想、震顫
呼吸系統:窒息、哮喘、咳嗽加劇,鼻衄、通氣過度,肺部異常,鼻炎
皮膚及附屬器官:斑丘疹、瘙癢、皮疹、出汗
特殊感官:眼部出血
泌尿生殖系統:血尿
本品在1-5%使用的患者中出現下列不良反應,但其原因尚不清楚。
一般(全身):意外傷害、過敏反應、無力、死亡、低體溫、免疫系統異常、感染、注射部位疼痛及注射部反應、頸痛。
心血管系統:心律失常,心房纖顫、心動過緩、充血性心衰、心搏停止、靜脈炎、休克、室上性心動過速、昏厥、血管擴張、肝靜脈阻塞性疾病、室性期外收縮
消化系統:厭食、血性腹瀉、便秘、消化不良、大便失禁、γ-谷氨醯轉肽酶升高、胃腸道異常、胃腸道出血、齒齦炎、舌炎、肝功能衰竭、黑糞症、口腔潰瘍、念珠菌病、直腸異常
造血及淋巴系統:瘀斑、纖維蛋白原增加、低血色素性貧血、白細胞增多、白細胞減少、出血點、促凝血酶源減少
代謝和營養障礙:酸中毒、BUN升高、脫水、低鈉血症、高鉀血症、高脂血症、血(高)鈉血症、高血容量、低血糖、低蛋白血症、乳酸脫氫酶升高、AST(SGOT)升高、ALT(SGTP)升高、體重下降
骨骼肌系統:關節痛、肌痛
神經系統:激動、焦慮、驚厥、抑鬱、幻覺、張力過高、神經質、神經病、感覺異常、精神病、言語功能障礙、木僵
呼吸系統:咯血、肺水腫、咽炎、胸腔積液、呼吸道異常、鼻竇炎
皮膚及附屬器官:痤瘡、脫髮、瘀點疹、皮膚顏色改變、皮丘、大皰疹
特別感官:弱視、耳聾、聽力異常、耳鳴
泌尿生殖系統:白蛋白尿、排尿困難、糖尿、腎衰、少尿、尿失禁、尿瀦留
禁忌
本品禁用於對其中任何成份過敏的患者。除非醫生認為使用本品的益處大於過敏帶來的危險時,這些有過敏史的患者才能使用本品。
注意事項
本品應靜脈給藥。與輸藥過程中有關的急性反應包括發熱、發冷、低血壓、噁心或心動過速。這些反應通常在開始輸藥後1-3小時出現,這些反應在頭幾次給藥時較為嚴重和頻繁,以後會逐步消失。與輸注有關的急性反應可以事先通過使用抗組胺和皮質類固醇來預防或/和降低輸注速度和迅速使用抗組胺和皮質類固醇來處理(見【不良反應】部分)。應避免快速輸注。
按患者反應情況,應對患者進行監測,特別是對肝功能、腎功能、血清電解質、全血細胞計數及凝血酶原反應時間等進行監測。
孕婦及哺乳期婦女用藥
妊娠
胎兒致畸性(B類妊娠):無孕婦使用本品的報告。在生殖系統實驗中,給大鼠使用相當於人體推薦劑量的0.4倍、對兔使用相當於人體推薦劑量的1.1倍的本品,無發現對胎兒有害的證據。因為動物生殖實驗不能完全預見人的反應,同時未對孕婦進行嚴格試驗,故本品只有在預見的益處大於對胎兒的潛在危險時才可在懷孕期間使用。
哺乳期的母親
尚不清楚本品是否會分泌到乳汁中。由於兩性黴素B對嬰兒的潛在嚴重不良反應,同時也考慮到藥物對母親的重要性,應在哺乳期母親是否停止母乳餵養或停止用藥這兩者之間作出選擇。
兒童用藥
97例患有深部真菌感染的兒童患者,以同成人的日劑量(mg/kg)相仿的劑量使用本品,未報導有意外的不良反應。
老年用藥
用本品治療了68例65歲以上的患者,未報發生意外的不良反應。
藥物相互作用
尚未對本品進行正式的藥物相互作用試驗。目前已知下列藥物與普通兩性黴素B同時使用時發生藥物相互作用,這些藥物可能亦與本品發生相互作用。
抗腫痛藥 抗腫瘤藥物與普通兩性黴素B同時使用可能導致增加腎毒性、支氣管痙攣和低血壓的可能性。因而,當抗腫瘤藥與本品同時給藥時需慎重。
皮質類固醇和促腎上腺皮質激素(ACTH)它們與普通兩性黴素B同時使用可能降低血鉀並導致心臟功能異常。若它們與本品同時使用,應該監測血清電解質和心臟功能。
環胞菌素 在比較本品和普通兩性黴素B對血清肌酐值的發熱和中性白細胞減少的患者進行經驗治療的隨機雙盲試驗中,對使用環胞菌素或免疫抑制劑的患者進行分組,在各種組合中均出現血清肌酐的升高,但是使用普通兩性黴素B時血清肌酐升高更多。
洋地黃糖苷 與普通兩性黴素B同時使用可能引起低血鉀和增加洋地黃毒性,若洋地黃糖苷與本品同時使用,應密切監測血清鉀水平。
氟尿嘧啶 含兩性黴素B的藥物與氟尿嘧啶同時使用可能增加氟尿嘧啶的毒性,它可能是通過增加細胞攝取與降低腎排泄而引起,當氟尿嘧啶與本品同時使用時需非常慎重。
咪唑類藥物(酮康唑,咪康唑,氟康唑等) 咪唑衍生物如咪康唑和酮康唑能抑制麥角甾醇合成,在動物體內和體外試驗中與普通兩性黴素B有拮抗作用。這一現象的臨床意義尚未確定。
其它對腎有毒性的藥物 普通兩性黴素B與氨基糖苷和五氮唑藥物同時使用可能增加由藥物引起的腎毒性。當氨基葡萄糖苷和五氮唑藥物與本品同時使用時需慎重。建議密切監測服用有腎毒性藥物的患者的腎功能。
骨骼肌鬆弛劑 普通兩性黴素B引起的低血鉀可能增加骨骼肌鬆弛劑(即箭毒鹼)的箭毒樣效果。如果骨骼肌鬆弛劑與本品同用,需密切監測血清鉀水平。
藥物過量
本品不可通過血透析清除,有報導普通兩性黴素B過量導致心跳停博或呼吸停止。
臨床試驗
注射用兩性黴素B脂質體麴黴菌感染:本數據取自5項非對照的開放研究;其中一項含有急診患者,在161例確定或懷疑有麴黴菌感染的患者中,患者接受本品治療的原因為:對普通兩性黴素B無反應(N=49),接受普通兩性黴素B時產生腎中毒(N=62),已有腎損傷(N=25),或者其它原因(N=25)。
這161位患者(92男和69女)的平均年齡為41歲(2個月至85歲)。在其中155位具有低水平中性粒細胞的患者中,33位(21%)的中性白細胞[500/mm[sup]3[/sup]。總的161位患者分布為:骨髓移植69(43%)、血液腫瘤51(32%)、實體器官移植25(15%)、實體腫瘤3(2%)、以及其它疾病13(8%,包括外科手術4例、HIV感染3例、自身免疫而導致免疫抑制3例、糖尿病2例和不明疾病1例)。肺部為主要感染部位,患者有118例(73%),其次是竇部位14例(9%)、中樞神經系統9例(6%)、皮膚/傷口9例(6%)、和其它11例(7%,包括骨骼病3例、肝病2例、傳染病2例、以及心臟內膜炎、眼炎、耳炎、硬齶病各一例)。49例患者因對普通兩性黴素B無反應而接受治療,其中11例在接受本品治療前7天內、16例在8-14天之間、以及22例在14天之前曾使用普通兩性黴素B。
這些患者在接受過至少7天或總劑量至少為15mg/kg的普通兩性黴素B治療後,根據綜合臨床指標,由醫生確定為普通兩性黴素B無效。腎毒性是指患者血清肌酐為基礎水平2倍以上,即增加1.5mg/dl或增至大於2.0mg/dl。因普通兩性黴素B以外的原因而導致血清肌酐增至或大於2.0mg/dl時,則定義為先前存在的腎損傷。
診斷和有效性的分類採用Mycoses研究小組提出的標準[1]。在這項回顧性分析中,“完全有效”指收治時所有有關症狀、特徵、心動異常等消失;“部分有效”則定義為上述症狀的顯著改善,有效總數為上述“完全有效”與“部分有效”數量之和。
在這161例患者中,80例可用於有效性評估,其他81例則因診斷不確切、病情混亂或使用小於或等於4個劑量的本品而被除外。在80例可用於有效性評估的患者中,其平均日劑量為4mg/kg/日(0.73-7.5mg/kg/日),平均累積劑量為6.3g(0.36-34.4g),平均治療時間為24天(5-129天)。
可評估患者的反應率
注射用兩性黴素B脂質體[a]總有效數=完全有效+部分有效
在接受過至少7天或總劑量15mg/kg的兩性黴素B治療後,根據綜合臨床指標確定。
[c]定義為血清肌酐在基礎水平上增加二倍即增加≥1.5mg/dL或增至≥2.0mg/dL。
[d]定義為因兩性黴素B以外的原因而導致血清肌酐增至≥2.0mg/dL
因沒有與上述患者可以直接對比的對照組,故未能確認對兩性黴素B無效的患者若繼續接受兩性黴素B治療是否會有效。用本品和兩性黴素B治療麴黴病的隨機比較研究正在進行。
腎功能:血清肌酐≥2.0mg/dl而開始使用本品治療的部分患者在治療過程中出現血清肌酐的降低。部分原因可能是患者在治療期間退出治療。通過在6個醫療中心(M.D. Anderson癌症中心,Fred Hutchinson癌症研究中心,Pittsburgh大學的H. Lee Moffitt癌症中心,Sloan-Kettering紀念癌症中心,和Emery大學的骨髓移植研究中心)查閱從1990年1月至1994年6月的醫療紀錄選出了一個病史對照組,當每一患者的血清肌酐達到≥2.0mg/dl的那天測定血消肌酐的平均值。如圖所示,接受本品治療的患者比病史對照中接受普通兩性黴素B的患者的血清肌酐要低,由於缺乏可以直接進行比較的對照組,所以不能確定這種降低是否顯著好於繼續接受兩性黴素B脫氧膽酸的患者。上述數據取自兩個獨立的實驗,對它們之間的差別未進行統計試驗。
血清肌酐≥2.0mg/dl且有麴黴菌感染患者中,平均血清肌酐水平隨時間的變化曲線並不代表單一患者的臨床表現,僅為一組患者的開盲結果。
藥理毒理
藥理
藥物經脂質體包裹或摻入脂質複合體後,其性質與普通藥物相比可能會發生顯著改變,同時,同一藥物與不同脂質體或脂質複合物的製成品在其脂質化學成份和物理性質上也可能有區別,這些區別可能影響藥物的功效。
作用機制
本品的有效成分兩性黴素B為一多烯抗菌素,它通過結合到真菌細胞膜上的固醇(主要為麥角固醇),造成膜通透性改變,胞內物流出而使真菌細胞死亡。兩性黴素B也能結合哺乳動物細胞膜中的固醇(主要為膽固醇),這可能是其對動物和人類有毒性的原因。
體外活性
本品在體外對麴黴菌和念珠菌有效,在對源於4種不同麴黴菌的112個臨床分離株和源於5種不同念珠菌的88個臨床菌株進行的試驗中,大多數的MIC>1μg/ml。本品在體外對其它真菌同樣有效,在體外本品對真菌具有抑菌和殺菌作用,取決於藥物濃度和真菌對藥物的敏感性。但,由於測試抗真菌藥物敏感性的標準技術尚未建立,故敏感性試驗的結果與臨床效果不定完全一致。
體內活性
本品在鼠科動物模型中對麴黴菌、白色念珠菌、球蟲菌和隱球菌有效。在免疫抑制的免模型中,能延長感染動物的生存期,清除感染器官的真菌。本品在倉鼠內臟利什曼病的模型中也有效,該病由利什曼屬的原生寄生蟲侵染單核吞噬細胞系統(MPS)的巨噬細胞所致;本品在這一倉鼠模型中能延長感染動物的生存期和清除感染器官的真菌。
耐藥性:
從若干生長於含有兩性黴素B的培養基上的真菌中和從有些長期接受兩性黴素B治療的患者中已經分離出敏感性下降的變異株。儘管藥物耐藥性與臨床療效的關係尚未確立,但對兩性黴素B耐藥的真菌可能對本品同樣耐藥。
毒理:
三致性(致癌、致突變和生育力損害)
尚無有關本品或兩性黴素B致癌潛在性的長期動物研究。在體外沙門菌逆向突變實驗(使用和不使用外源哺乳動物微粒體代謝活化系統)、CHO細胞染色體變異實驗和小鼠淋巴瘤做正向分析,本品和/或兩性黴素B無致突變作用。本品在體內的骨髓微核試驗中亦呈陰性。關於本品對生育力的影響以及對出生前後的新生兒是否有不利影響尚未在動物中進行試驗。對大鼠相當於人用推薦劑量的0.5倍的本品、或給狗使用相當於人用推薦劑量0.4倍的本品(根據體表面積計算),進行長達13周的多劑量毒性試驗,證明卵巢和睪丸的組織都未受影響。
藥代動力學
在51個使用本品治療真菌感染的骨髓移植患者中,患者的平均年齡和體重分別為32歲(3-52歲)和69.5kg(14-116kg)。本品劑量為0.5-8.0mg/kg/天。在此研究中對兩性黴素B的測定不區分與膽固醇醯硫酸鈉形成複合物的兩性黴素B和未結合的兩性黴素B。
對血漿中藥代動力學參數採用群體模型方法。本品中兩性黴素B的藥物動力學用一個開放的二室結構模型能夠得到最佳的描述。該動力學為非線性,藥物分布的穩態量和總血漿清除率隨劑量增加而增加。在0.5-8.0mg/kg/天的劑量範圍內血漿中藥物的濃度增加按比例小於藥物劑量的增加,分布容積的增加則可能反映了組織對藥物的吸收。患者間藥物動力學參數的差異很大程度上是體重和劑量的變化所致。清除率差異為26%(未能解釋此差異)。根據這些患者建立的群體模型,本品按4種劑量所預測的藥代動力學參數如下表所示。
本品多次給藥後兩性黴素B的藥代動力學參數
注射用兩性黴素B脂質體[a]. 以二室模型描述本品給藥後兩性黴素B的藥代動力學,給藥速度為1mg/kg/小時。
另外,普通兩性黴素B的藥代動力學在15例用兩性黴素B治療麴黴菌感染的患者中進行了研究,患者的平均年齡與體重分別為21歲(4-66歲)和60kg(19-117kg),用群體模型來估測藥代動力學參數,兩性黴素B的藥代動力學用一個開放的二室帶線性清除的模型得到最佳描述。
以1mg/kg兩性黴素B多次給藥後兩性黴素B藥代動力學參數
注射用兩性黴素B脂質體[a]數據取自15例使用兩性黴素B治療麴黴菌感染或經驗治療的患者,以二室模型描述使用兩性黴素B脫氧膽酸後的藥代動力學,給藥速度=0.25mg/kg/hr。
在另一項25例患者的研究中,將本品中的兩性黴素B複合物和普通兩性黴素B區分開來分析。這些患者是因麴黴病或因高熱和中性白細胞減少而導致免疫功能受損。在以1mg/kg/hr的劑量給藥後,血漿中的兩性黴素B總濃度的25±18%(平均值±標準差)以本形式存在,1小時後這比例降至9.3±7.9%,24小時後降至7.5±9.3%。
用群體模型的方法對上述51例骨髓移植患者的腎、肝功能和年齡對本品藥代動力學的影響進行了研究。
腎損傷對有腎損傷的患者,以本品給藥後,其兩性黴素B的藥代動力學與基礎血清肌酐的清除率無關,平均基礎血清肌酐為74.0(35-202)ml/分/70kg,更嚴重腎損傷對本品的藥代動力學的影響則未研究。
肝損傷根據肝臟酶活性和膽紅素的測定結果,以本品給藥後,兩性黴素B的藥代動力學與基礎肝功能無關,AST和膽紅素分別為59.4±70IU/ml和3.5±3.7mg/dl(平均值±標準差),更嚴重的肝損傷對本品的藥代動力學的影響則未研究。
年齡以本品給藥,兩性黴素B的藥代動力學與患者的年齡無關,患者平均年齡為32歲(3-52歲)。
貯藏
未開啟的本品應保存於15℃-30℃(59-86華氏度)中。在使用之前,本品應置於包裝盒內。
包裝
玻璃瓶包裝,1瓶/盒。
有效期
36個月,詳見小包裝盒
執行標準
JX19990024
