介紹
其重力水在重力作用下,沿著斜坡可以流入排水溝,也可在沼澤表面形成小湖和小河。當冰雪融化、大雨或河湖泛濫後,常出現明水,能長時間或臨時積聚於沼澤表面,形成各種形式的水文地理網。在泥炭層或草根層中的束縛水受分子力作用,不會流出來。除毛管水和部分薄膜水可由植物根系吸收,並由植物枝葉散發或自然蒸乾外,滲透水和化合水都必須採取特殊方法,才能從泥炭層或草根層中除掉。水在沼澤泥炭層中的運動有毛管運動和滲透運動兩種形式,但在活躍層和惰性層中差異顯著,具有不同的特點。沼澤水的水源,一般都是由地表徑流、地下水和大氣降水混合補給,隨沼澤所在位置和發育階段又有主次之分。沼澤水的化學性質亦很不相同。
水文特徵
沼澤水有各種補給來源,位於分水嶺上的沼澤體,沼澤水的惟一補給來源是大氣降水。緩坡上的沼澤體,以大氣降水補給為主,低洼處常有地表徑流過境。地下水出露帶上的沼澤,以地下水補給為主。平原地區流域分水線處的沼澤,由大氣降水和當地徑流補給,河流階地坡腳處還有地下水補給。河漫灘上的沼澤,大多為河水、地下水和大氣降水共同補給。海濱沼澤由海水和降水補給。內陸乾旱區的沼澤多為地下水補給。另外,無論沼澤發育在何種地貌部位上,只要沼澤表面發育成凸形,就只有大氣降水補給。
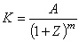
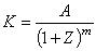
沼澤表面上水的流動與一般地表徑流相同。沼澤水的滲流呈層流狀態,服從達西定律,其流速大小與滲透係數和水力坡度有關。滲透係數可用經驗公式表示:
公式式中 K為滲透係數; Z為潛水位埋深; A和 m為常數。滲透係數取決於草根層和泥炭層的結構。沼澤表層以下結構稍緊實,滲透係數隨之減小。
泥炭沼澤從表面到潛水位活動帶的下界為活動層,其下為惰性層。無泥炭沼澤蹦草根層與泥炭沼澤的活動層大體相當,其下為腐質泥層,再下為潛育層。活動層和草根層的表層孔隙大,沼澤水流動速度大,一般每天2~3米,有的能達幾十米。當潛水位下降到惰性層或腐質泥層時,沼澤水的流速幾乎等於零。
沼澤草根層和泥炭層中的水流叫沼澤表層流(也稱表底流),其流量隨潛水位埋深增加而減少。
沼澤水除由植物棵間直接蒸發外,還被植物根系吸收並通過枝葉散發。因此,表面有薄層積水的沼澤,其總蒸發量比純水面蒸發量大。潛水位下降,而毛管水仍能達到地表時,總蒸發量還相當大。泥炭沼澤中表面凸起者的蒸發量小於表面平坦或凹形者的蒸發量。
化學性質
沼澤水渾濁,呈黃褐色,有腥臭味。有機酸和鐵錳含量較高者,水面常呈現紅褐色。除乾旱地區的鹽沼和海濱沼澤外,礦化度都較低,一般不超過500毫克/升。硬度很低,pH為3.5~7.5,呈弱酸性或中性反應,其中呈弱酸性者居多。沼澤水中的主要陰離子有HCO婣、SO厈、Cl-,主要的陽離子有Ca2+、Mg2+、K+、Na+以及Fe2+、Fe3+、NH嬃、Mn2+等。沼澤水中含有較多的腐植酸,含量從每升幾毫克到上百毫克。水中溶解的氣體主要有CO2、O2、H2S、N2等。水化學類型主要為重碳酸型和硫-氯型兩類。發育在地形較高處的沼澤和沼澤表面凸起的部位,沼澤水的礦化度最低,一般不超過45毫克/升,pH值3.5~5.9,腐植酸的含量較高,約85~140毫克/升,多屬硫-氯型;發育在地形較低處的沼澤,表面平坦或呈凹形的沼澤部位,沼澤水的礦化度較高,可達500毫克/升,pH值6.0~7.5,腐植酸多在每升幾毫克到數10毫克之內;內陸鹽沼和海濱沼澤中的沼澤水,含鹽量較高。沼澤中的耐鹽喜水植物起著調節沼澤水中含鹽量的作用。中國若爾蓋高原(屬高寒地區)上的草本泥炭沼澤,沼澤水的礦化度100~500毫克/升,pH值6.2~7.5,二氧化碳含量最高可達700毫克/升。主要為重碳酸鈣鎂型和重碳酸鈣鈉型,也有重碳酸鈣和重碳酸氯鈣型的。三江平原無泥炭沼澤中的沼澤水,礦化度40~500毫克/升,pH值6.2~7.5,硬度 0.5~3.0毫克當量/升,腐植酸含量0.65~15毫克/升,含鐵量可達6毫克/升,主要為重碳酸鈣鎂型。
水量平衡
蒸發量大、徑流量小是沼澤水量平衡的重要特點。濕潤地區,例如蘇聯的西北部,蒸發量占總支出量的75%,徑流量占25%;在水分不穩定地帶,例如中國的三江平原的沼澤地,蒸發量占總支出量的84%,徑流量占16%。水量平衡中蒸發量與徑流量也有季節變化:冬季蒸發量很小,徑流是主要支出項;夏季徑流量大,蒸發量也大;暮秋至初冬蒸發迅速減小。這些地帶的沼澤區因近地面氣層濕度大,沼澤特殊的熱學性質等原因,在9~10月還能觀測到凝結水的現象,其蒸發量為負值。

