原理
所謂污泥濃度,即活性污泥法中曝氣區單位體積懸浮混合的乾污泥淨重的毫克數。利用水份快速測定儀中紅外線燈飽強有力的快速乾燥性能,進行乾燥至恆重,側出污泥中懸浮物的重量,最後計算出污泥濃度。
儀器
1、水份快速測定儀。
2、抽濾瓶:1000ml
3、布氏漏斗:30ml
4、量筒:100ml
5、定量濾紙:直徑11cm
測定步驟
1、將編號濾紙放在水份快速測定儀中,乾燥至恆重。
2、將此濾紙放入布氏漏斗中,用少量蒸餾水潤濕。
3、將沉降後的試樣,倒入漏斗中抽濾。
4、過濾後用少量蒸餾水洗量筒,將洗滌液倒人漏斗中過濾。
5、將抽濾後試樣連同濾紙一起放入水份快速測定儀中,乾燥至恆重。
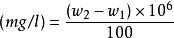
計算公式
污泥濃度污泥濃度
式中:W— 乾污泥加濾紙重(mg),
W— 濾紙重(mg)。

