概念
在人類活動的影響下,生物所需的氮、磷等營養物質大量進入湖泊、河口、海灣等緩流水體,引起藻類及其他浮游生物迅速繁殖,水體溶解氧量下降,水質惡化,魚類及其他生物大量死亡的現象。在自然條件下,湖泊也會從貧營養狀態過渡到富營養狀態,不過這種自然過程非常緩慢。而人為排放含營養物質的工業廢水和生活污水所引起的水體富營養化則可以在短時問內出現。水體出現富營養化現象時,浮游藻類大量繁殖,形成水華。因占優勢的浮游藻類的顏色不同,水面往往呈現藍色、綠色、紅色、棕色、乳白色等。
實際上,湖泊水庫等水體的富營養化自然條件下也是存在的,不過進程非常緩慢,這就是地理學意義上的富營養化。然而一旦水體接受人類活動的影響,這種轉變的速度會大大加快,特別是在平原區域,人口密集,工農業發達,大量污水進入水體,帶入大量的營養物質,極大的加速水體富營養化進程。人們通常所說的富營養化是指這種在人為條件的影響下,大量營養鹽輸入湖泊水庫,出現水體有生產能力低的貧營養狀態向生產能力高的富營養狀態轉變的現象。
污染物來源
水體富營養化是一種有機污染類型,由於過多的氮、磷等營養物質進入天然水體而惡化水質。施入農田的化肥,一般情況下約有一半氮肥未被利用,流入地下水或池塘湖泊,大量生活污水也常使水體過肥。過多的營養物質促使水域中的浮游植物,如藍藻、硅藻以及水草的大量繁殖,有時整個水面被藻類覆蓋而形成“水華”,藻類死亡後沉積於水底,微生物分解消耗大量溶解氧,導致魚類因缺氧而大批死亡。
1、工業廢水排放
富營養化的水體中含有較多的氮和磷,它們首先來自工業廢水。鋼鐵、化工、製藥、造紙、印染等行業的廢水中氮和磷的含量都相當高。近年來,工業排放的廢水逐年遞增。據報導,2001年全國工業廢水排放量達201億t。但由於技術與資金的原因,大部分工業廢水只經簡單處理甚至未經任何處理就直接排入江河等水體中,許多廢水中所含的氮、磷等物質也就不斷地在水體中累積了下來。
2、生活污水排放
人們在日常生活中也產生了大量的生活污水,2001年全國生活污水排放達227億t,超過工業廢水排放量。生活污水中含有大量富含氮、磷的有機物。其中的磷主要來自洗滌劑。據統計,2001年全年排放廢水中化學需氧量(COD)排放總量為140615萬t,比上年減少2.7%。其中工業廢水中COD排放量607.5萬t,比上年減少13.8%;生活枵水中COD排放量799萬t,比上年增加8.0%。可見,生活污水已逐漸取代工業廢水而成為水體富營養化的最大污染源。
3、化肥、農藥的使用
現代農業生產中大量使用化肥、農藥,人類在享受它們帶來農業豐收的同時,在很大程度上污染了環境。農藥、化肥在土壤中殘留,同時不斷地被淋溶到周圍環境,特別是水體中,其中所含的氮、磷就導致了水體富營養化。此外,屠宰場和畜牧場也會有含有較多氮磷的廢水進入水體等。
發生髮展過程
水體富營養化的發生也是逐步進行的:
水體在營養鹽濃度較低,藻類和其他浮游植物的生物量隨著營養鹽濃度的增加而相應增加的時期,稱為回響階段,這類湖泊水庫稱為回響型水體,表明富營養化處於發展階段;
當營養鹽濃度超過一定的限度,浮游植物的生產量反而下降或者持平,稱為非回響階段,表明水體的富營養化過程己趨於極限。此時,營養鹽濃度達到飽和,生物生產導致水體內部溶解氧濃度急劇減少,限制了生物生產過程。作為富營養化控制因子的氮、磷等,只有在富營養化的回響階段才起作用。
1.水體在營養鹽濃度較低,藻類和其他浮游植物的生物量隨著營養鹽濃度的增加而相應增加的時期,稱為回響階段,這類湖泊水庫稱為回響型水體,表明富營養化處於發展階段;
2.當營養鹽濃度超過一定的限度,浮游植物的生產量反而下降或者持平,稱為非回響階段,表明水體的富營養化過程己趨於極限。此時,營養鹽濃度達到飽和,生物生產導致水體內部溶解氧濃度急劇減少,限制了生物生產過程。作為富營養化控制因子的氮、磷等,只有在富營養化的回響階段才起作用。
評價與分級
湖泊富營養化評價,就是通過與湖泊營養狀態有關的一系列指標及指標間的相互關係,對湖泊的營養狀態作出準確的判斷。目前我國湖泊富營養化評價的基本方法主要有營養狀態指數法(卡爾森營養狀態指數(TSI)、修正的營養狀態指數、綜合營養狀態指數(TII))、營養度指數法和評分法。
富營養化評價
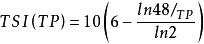
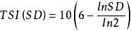
卡爾森指數法是美國科學家卡爾森在l977年提出來的,這一評價方法克服了單一因子評價富營養化的片面性,而是綜合各項參數,力圖將單變數的簡易與多變數綜合判斷的準確性相結合。卡爾森指數是以湖水透明度( SD)為基準的營養狀態評價指數。其表達式為:
富營養化
富營養化
富營養化 式中:TSI為卡爾森營養狀態指數;SD 為湖水透明度值(m);chla為湖水中葉綠素口含量(mg/m );TP為湖水中總磷濃度(mg/m )。
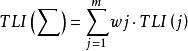
綜合營養狀態指數公式為 :
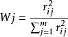
富營養化 式中,TLI(Σ)表示綜合營養狀態指數;TLI(j)代表第j種參數的營養狀態指數; wj為第j種參數的營養狀態指數的相關權重。
以chla作為基準參數,則第J種參數的歸一化的相關權重計算公式為:
富營養化 r為第j種參數與基準參數chla的相關係數; 為評價參數的個數。
富營養化
富營養化 中國湖泊的chla與其它參數之問的相關關係 及 見表1。
| 參數 | chla | TP | TN | SD | COD |
| r | 1 | 0.84 | 0.82 | -0.83 | 0.83 |
| r | 1 | 0.7056 | 0.6724 | 0.6889 | 0.6889 |
富營養化分級
根據水體營養物質的污染程度,通常分成貧營養、中營養和富營養三種水平。營養狀態分級為了說明湖泊富營養狀態情況,採用0~100的一系列連續數字對湖泊營養狀態進行分級:
TLI(Σ)< 30 貧營養(Oligotropher)
30≤TLI(Σ)≤50 中營養(Mesotropher)
TLI(Σ)> 50 富營養(Eutropher)
50 < 60 輕度富營養(light eutropher)
60< TLI(Σ)≤70 中度富營養(Middle eutropher)
TLI(Σ)> 70 重度富營養(Hyper eutropher)
在同一營養狀態下,指數值越高,其營養程度越重。
國內外水體富營養化污染概況
國外水體富營養化污染情況
從上個世紀初以來,社會經濟長足發展,人口急劇增長,大量生活污水、工業污廢水未經處理排入湖泊、水庫,大大增加了水體中氮、磷營養物質含量。同時,農業中大量化肥農藥的施用,也加快了湖泊、水庫等水體富營養化進程。富營養化不僅使水體喪失應有的功能,而且使水體生態環境向不利於人類的方向演變,最終影響人民生活和社會發展,因而富營養化問題受到了越來越多的國家的關注和重視。
據聯合國環境規劃署(UNEP)的一項調查表明,在全球範圍內30%-40%的湖泊、水庫存在不同程度的富營養化影響。世界上大部分湖泊、水庫像貝爾加湖、蘇必利湖、馬拉威湖、大熊湖、大奴湖等影響較小,水質較好,而在氣候乾旱地區,水源以人工和半人工方式蓄積起來的水體,富營養現象十分嚴重。西班牙的800座水庫中,至少有1/3的湖泊處於重富營養化狀態,在南美、南非、墨西哥以及其它一些地方均有水體重富營養化的報導。加拿大湖泊眾多,發生富營養化的水體主要集中在南部人口稠密的地區。美國環保總局在1972-1974年期間對全國大多數湖泊、水庫進行一次大規模的、全面的調查和監測。結果表明,在調查的574個湖泊和水庫中,按營養狀態分類有77.8%的水體屬於富營養化,貧營養水體僅占4.5%,其它17.7%的為中營養水體。這次調查結果使美國政府對富營養化問題更加關心和重視。進入90年代以後,水質富營養化問題變得尤為嚴重,在歐洲統計的96個湖泊水庫當中僅有19個處於貧營養狀態,80%的水已經處於富營養化狀態,美國五大湖中伊利湖和安大略湖己經處於富營養化狀態,形勢十分嚴峻。亞洲湖泊污染比歐洲湖泊嚴重,僅日本的琵琶湖、台灣的日月潭和韓國的八堂湖污染較輕,其餘湖泊一特別是東南亞開發中國家的湖泊污染較重。亞洲大部分尤其是南部水體的氮磷濃度偏高,受當地適宜的氣候條件影響,存在著富營養化的隱患。
綜上所述,近年來世界各地湖泊水庫的富營養化污染嚴重,並且有逐年加劇趨勢,在人口密集,經濟發達的地方表現尤為明顯,水體富營養化已經成為全球關注的重大環境問題之一。
國內水體富營養化污染情況
近20年來,我國湖泊富營養化發展速度相當快。多年以來的調查結果表明,富營養化湖泊個數占調查湖泊的比例由20世紀70年代末至80年代後期的41%發展到80年代後期的61%,至20世紀90年代後期又上升到77%。水庫富營養化的問題也較嚴重。對全國39個大、中、小型水庫的調查結果表明:在所調查的水庫中,處於富營養狀態的水庫個數和庫容分別占所調查水庫的30.8%和11.2%,處於中營養狀態的水庫個數和庫容分別占所調查水庫的3.6%和83.1%。總體而言,水庫水質是良好的,但是瀕臨城市和作為水源的水庫也有不少出現了向富營養化演變的趨勢,特別是鄰近城鎮的水庫富營養化程度較高,如北京的官廳水庫、天津的於橋水庫、石河子市的蘑菇水庫等幾近達到富營養化程度。
危害
水體富營養化會水體的水質造成影響,使水的透明度降低,陽光難以穿透水層,從而影響水中植物的光合作用,還可能造成溶解氧的過飽和狀態,對水生動物構成危害,造成魚類大量死亡等。同時,水體富營養化的水體表面會生長著以藍藻、綠藻為優勢種的大量水藻,形成一層“綠色浮渣”,致使底層堆積的有機物質在厭氧條件分解產生的有害氣體和一些浮游生物產生的生物毒素也會傷害魚類。再次,因為富營養化的水中含有硝酸鹽和亞硝酸鹽,人畜長期飲用這些物質含量超過一定標準的水,也會中毒致病,水體富營養化會加速湖泊的衰退,使之向沼澤化發展。如果氮、磷等植物營養物質大量而連續地進入湖泊、水庫及海灣等緩流水體,將促進各種水生生物的活性,刺激它們異常繁殖(主要是藻類),這樣就帶來一系列嚴重後果:
藻類在水體中占據的空間越來越大,使魚類活動的空間越來越小;衰死藻類將沉積塘底。
藻類種類逐漸減少,並由以硅藻和綠藻為主轉為以藍藻為主,而藍藻有不少種有膠質膜,不適於作魚餌料,而其中有一些種屬是有毒的。
藻類過度生長繁殖,將造成水中溶解氧的急劇變化,藻類的呼吸作用和死亡的藻類的分解作用消耗大量的氧,有可能在一定時間內使水體處於嚴重缺氧狀態,嚴重影響魚類的生存。水體富營養化影響水體的利用,水體富營養化現象一旦出現,水就不能被人畜直接利用。大量生物和有機物殘體沉積於水的底層,在缺氧情況下,被一些微生物分解,產生甲烷、硫化氫等有害氣體。富營養化的水體中還存在能使人畜中毒受害的亞硝酸鹽和硝酸鹽物質。出現富營養化現象的水體,不僅影響水體的處理和利用,造成水生經濟生物(如魚類)的損失,而且恢復水體的清潔需要相當長的時間。1987年,巢湖水廠曾因大量藻類堵塞濾池被迫停止運轉,造成近億元經濟損失。
1.藻類在水體中占據的空間越來越大,使魚類活動的空間越來越小;衰死藻類將沉積塘底。
2.藻類種類逐漸減少,並由以硅藻和綠藻為主轉為以藍藻為主,而藍藻有不少種有膠質膜,不適於作魚餌料,而其中有一些種屬是有毒的。
3.藻類過度生長繁殖,將造成水中溶解氧的急劇變化,藻類的呼吸作用和死亡的藻類的分解作用消耗大量的氧,有可能在一定時間內使水體處於嚴重缺氧狀態,嚴重影響魚類的生存。水體富營養化影響水體的利用,水體富營養化現象一旦出現,水就不能被人畜直接利用。大量生物和有機物殘體沉積於水的底層,在缺氧情況下,被一些微生物分解,產生甲烷、硫化氫等有害氣體。富營養化的水體中還存在能使人畜中毒受害的亞硝酸鹽和硝酸鹽物質。出現富營養化現象的水體,不僅影響水體的處理和利用,造成水生經濟生物(如魚類)的損失,而且恢復水體的清潔需要相當長的時間。1987年,巢湖水廠曾因大量藻類堵塞濾池被迫停止運轉,造成近億元經濟損失。
預防
藍藻水華就像是湖泊的慢性疾病一樣,完全“治癒”是非常困難的,但可以預防和控制相結合,把其危害減低到最小。水華暴發的預防主要通過控制和降低營養鹽的濃度來控制水華藍藻生長,還可以通過科學的監測預報來減小損失。
1、流域污染源控制
目的是減少湖泊和水庫營養負荷的輸入量,主要通過截污工程、污水脫氮除磷技術等來實現。對於上游未受到污染和輕度污染的水體,預防的思想非常重要,控制污染源也是可以實現的。對於已經嚴重富營養化的湖泊水庫,減少部分廢水的排放不會在短期內改變其富營養化現狀。但從長遠來看,要想從根本上控制水體的富營養化,就必須嚴格控制對水體的營養物質輸入。
2、內源營養鹽的消減
對於已經嚴重富營養化的湖泊,可以通過清淤來降低內源營養物質含量,不過對於像滇池、太湖等大型湖泊,清淤工程過於巨大,要耗費巨資,並不是很現實。另一種方法是通過植物淨化或者良性藻類繁殖來降低湖水的營養鹽濃度。有條件的情況下,可以考慮改善湖泊水庫的水循環,加大活水流入量,改善水文條件和沖淡湖水的營養水平,從而抑制藻類的生長。
3、水華暴發的監測預報
監測包括水華藍藻及其毒素產生的監測,預報需要藻類生態學和氣候學知識的科學綜合分析。衛星遙感在湖泊藻類的監測預報方面可以起到重要的作用。水華暴發的科學監測和準確預報可以幫助當地政府和水產經營者做好應急決策,從而盡最大程度減小損失。
治理措施
水體富營養化的形成原因包括無機營養鹽和有機物大量輸入,水交換能力減弱,水滯留時間延長,攝食壓力下降以及二氧化碳等溫室氣體排放等。其根本原因是營養物質的增加。一般認為主要是磷,其次是氮,可能還有碳、微量元素或維生素等。受控生態系統裝置和試驗湖區的研究結果表明磷是主要“限制因子”。等關於磷負荷和初級生產關係的研究也表明磷的重要性。在氮磷比低於時,或在某個季節,氮也可能成為限制因子。
人們在對富營養化的治理上採取了很多措施,明確了這些措施對改善水質的作用,但對其作用的程度以及對湖泊利用的影響等方面差異較大。主要有廢水處理、排水改道、土地利用、工業產品改進、疏浚、凝聚沉澱處理、深層排水、底泥曝曬與乾燥、湖底覆蓋、曝氣循環、物理方法水位升降、土壤改良、化學方法殺藻劑、除草劑、生物學方法生態系統控制、生物利用等。這些技術措施,可歸納為以下幾大類:
控制水體中的營養鹽
控制水體營養鹽濃度是傳統的富營養化防治措施。對於外源性污染物採取截污、污水改道、污水除磷等措施,而對於內源性污染物可採取清淤挖泥、營養鹽鈍化、底層暴氣、稀釋沖刷、調節湖水氮磷比、覆蓋底部沉積物及絮凝沉降等措施,控制包括含營養鹽、有毒有害化學品等污染物的各類廢水進入水體,是水體富營養化防治和管理的重要措施,尤其是有毒有害化學品,根據湖泊水體的功能以及湖泊生態系統的生態學特徵,制訂切實可行的污染控制方案是富營養化防治的重要措施。
除藻
用化學藥品如硫酸銅控制藻類可能是最古老原始的方法。化學藥品可快速殺死藻類,但死亡藻類所產生二次污染及化學藥品的生物富集和生物放大對整個生態系統的負面影響較大,而且長期使用還會產生抗藥性。這種方法只有局部治標作用,而且還要考慮殘毒問題,因此除非應急和健康安全許可,化學殺藻一般不宜採用。
生物調控和生物修復
由於過去對富營養化的防治措施都集中在理化方法和工程措施,對利用生態學方法,即從生態系統結構和功能的調整來進行治理很少引人注意。20世紀70年代以來,不少學者強調了生物的作用,還提出了生物調控這一名詞,或稱生物操縱,這種觀點強調的是整個生態系統的管理,從營養物質循環環節來控制富營養化。生物調控是通過重建生物群落以得到一個有利的回響,常用於減少藻類生物量,保持水質清澈並提高生物多樣性。主要是採用魚類種群的下行調控,如增加食魚性魚類或減少食浮遊動物或食底棲動物魚類,以保證有充分的浮遊動物等來控制藻類,也有直接利用食藻魚控制藍藻水華。
生態工程和生態修復
越來越多的研究顯示位於水體和陸地生態系統之間的生態交錯帶具有過濾功能、緩衝器功能,它不僅可吸附和轉移來自面源的污染物、營養物,改善水質,而且可截留固定顆粒物,減少水體中的顆粒物和沉積率,同時濕地可以提供生物繁育生長棲息地,對於保護生物多樣性、減少洪水危害、保持水土等具有重要意義,而且在湖泊周邊建立和修復水陸交錯帶,是整個湖泊生態系統恢復的重要組成部分。
生態工程是修復富營養化湖泊生態系統的重要工具,用生態工程可以改善富營養化湖泊的局部水質,修復局部生態系統。但是全湖治理富營養化、控制藻類爆發、恢復健康的湖泊生態系統,仍然是一個世界性難題,尤其是對於大湖,全面恢復健康的生態系統需要相當長的時間。
綜合處理
對污水進行三級處理(包括物理學、化學和生物學方法)的效果也不錯,但其費用較高,在開發中國家廣泛採用還有困難;而對於非點源污染,採用土地利用(包括氧化塘處理、土地處理等)是一個比較經濟的方法,但要求有土地條件。當水源比較充足有合理水源可利用時,可進行換水、稀釋,帶出氮磷物質以及藻類,但這種方法只是轉移了污染源,而沒有進行實質性治理。在這些技術措施中,還可以結合工藝改革、改進產品等,減少廢水中磷的含量。如改用磷酸鹽的代用品,農業上合理控制施肥。
環境污染相關知識
| 環境污染,指自然的或人為的向環境中添加某種物質而超過環境的自淨能力而產生危害的行為。主要對環境自然生態系統和人的健康產生危害,即使當時不造成危害,但後續效應有害也算是污染行為。一般污染被分為空氣污染、水污染、固體廢棄物污染、土壤污染和放射性污染。現在污染的範圍越來越大,有船舶污染、光污染、噪音污染、熱污染和過度消費等各種新興污染開始被人們關注。 | |
| 空氣污染 | 酸雨 | 鹼雨 | 北極霾 | 大氣擴散模式 | 全球黯化 | 蚱蜢跳效應 | 全球變暖 | 臭氧空洞 | 氯氟碳化合物 | 懸浮粒子 | 霾 | 氣溶膠 |
| 水污染 | 富營養化 | 海洋廢棄物 | 油外泄 | 熱污染 | 城市徑流 | 水質 | 死水 | 生活污水 |
| 土地污染 | 生物修復 | 植物修復 | 除草劑 | 農藥 | 重金屬 | 肥害 |
| 放射性污染 | 裂變產物 | 放射性落下灰 | 急性輻射綜合症 |
| 其他污染 | 熱島現象 | 光害 | 噪音污染 | 基因污染 | 工業污染 | 船舶污染 |
| 污染控制技術 | 環境監測 | 資源回收 | 垃圾分類 | 污染物排放控制技術 | 環境污染控制 | 活性污泥法 | SBR污水處理工藝 | 生物膜法 | 厭氧法 | 上流式厭氧污泥床 | 污水處理 | 鏇風分離 | 工業發酵 | 堆填 | 垃圾焚燒 | 固體廢棄物的處理與處置 | 水污染控制 |
| 對生物的影響 | 生物放大作用 | 生物累積性 | 生物濃縮性 |
| 污染事故 | 台塑仁武廠污染事件 | 湖南省兒童鉛中毒案 | 日本四大公害病 | 愛克森瓦拉茲海難 | 阿瑪斯號貨輪油污事件 | 林園事件 | 2010年墨西哥灣漏油事故 | 2010年大連新港輸油管道爆炸 | 2011年中海油渤海灣漏油事故 |
| 國際公約 | 巴塞爾公約 | 《蒙特婁議定書》 | 京都議定書 | 斯德哥爾摩公約 | 防止船舶污染國際公約 |
| 環保組織 | 中華人民共和國環境保護部 | 香港環境保護署 | 綠色和平 | 綠黨 | 美國環境保護局 | 歐洲環境署 | 日本環境省 |
海洋學及其相關知識
| 海洋科學是研究海洋的自然現象、性質及其變化規律,以及與開發利用海洋有關的知識體系。下面讓我們來完善與海洋學相關的詞條,以此來更加深入的了解海洋學的相關知識。 |

