簡介
水蒸氣壓通常指水的飽和蒸氣壓,是水蒸氣與其凝聚態處於熱力學平衡時蒸氣的壓強。在混合氣體中,飽和水蒸氣壓為與液態或固態水處於平衡態的水蒸氣的分壓。飽和水蒸氣壓是溫度的函式,可由克勞修斯-克拉佩龍方程描述。
近似公式
水蒸氣壓可由下列關係近似(為了提高精準度):
水蒸氣壓其中P為水蒸氣壓(mmHg),而T為凱氏溫標。
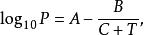
使用安托萬方程:
水蒸氣壓其中溫度T為攝氏溫標,P單位為mmHg。
克勞修斯-克拉佩龍方程
克勞修斯-克拉佩龍方程(英語:Clausius–Clapeyron relation)是用於描述單組分系統在相平衡時壓強隨溫度的變化率的方法,以魯道夫·克勞修斯和埃米爾·克拉佩龍命名。
水蒸氣壓
水蒸氣壓
水蒸氣壓此處是壓強隨溫度的變化率,L是相變焓(早年稱為潛熱),T是相平衡溫度,是相變過程中的比容變化。
