基本解釋
水分
(1) 含在物體內部的水。
水分充足;新鮮蔬菜中含有大量水分。
(2) [surplus exaggeration]:比喻敘述中不切實、虛誇的成分。
這個材料水分太多,需要核實。此處不可用“水份”。
當然,也有長而優,非長不可的,但大多數不必那么長,確有“水分”可擠的。——《簡筆與繁筆》
引證釋義
亦作“ 水份 ”。
1.物體所含的水。
老舍《駱駝祥子》十八:“茶由口中進去,汗馬上由身上出來,好像身上已是空膛的,不會再藏儲一點水分。”
羅黑芷 《在淡靄里》:“倘若肋膜里脹滿了水分,那就不能醫治。”
(2).引申指事物的多餘或不實在的部分。
徐興業《金甌缺》第十一章:“事情到了喜歡尋開心的東京人的嘴裡,擠去了其中令人不舒服的水分,就變成新鮮活潑的話題了。”
諶容《關於仔豬過冬問題》:“各大隊簽訂責任制契約的單位,到底落實了多少?生產組報的五十七,我看有水分。”
《花城》1981年第5期:“外國記者報導的東西,水份太多,捕風捉影。”
水分測定
•第一法 直接乾燥法
分析步驟
5.1 固體試樣:取潔淨鋁製或玻璃制的扁形稱量瓶,置於101 ℃~105 ℃乾燥箱中,瓶蓋斜支於瓶邊,加熱1.0 h,取出蓋好,置乾燥器內冷卻0.5 h,稱量,並重複乾燥至前後兩次質量差不超過2 mg,即為恆重。將混合均勻的試樣迅速磨細至顆粒小於2 mm,不易研磨的樣品應儘可能切碎,稱取2 g~10 g試樣(精確至0.0001 g),放入此稱量瓶中,試樣厚度不超過5 mm,如為疏鬆試樣,厚度不超過10 mm,加蓋,精密稱量後,置101 ℃~105 ℃乾燥箱中,瓶蓋斜支於瓶邊,乾燥2 h~4 h後,蓋好取出,放入乾燥器內冷卻0.5 h後稱量。然後再放入101 ℃~105 ℃乾燥箱中乾燥1 h左右,取出,放入乾燥器內冷卻0.5 h後再稱量。並重複以上操作至前後兩次質量差不超過2 mg,即為恆重。
註:兩次恆重值在最後計算中,取最後一次的稱量值。
5.2 半固體或液體試樣:取潔淨的稱量瓶,內加10 g海砂及一根小玻棒,置於101 ℃~105 ℃乾燥箱中,乾燥1.0 h後取出,放入乾燥器內冷卻0.5 h後稱量,並重複乾燥至恆重。然後稱取5 g~10 g試樣(精確至0.0001 g),置於蒸發皿中,用小玻棒攪勻放在沸水浴上蒸乾,並隨時攪拌,擦去皿底的水滴,置101 ℃~105 ℃乾燥箱中乾燥4 h後蓋好取出,放入乾燥器內冷卻0.5 h後稱量。以下按5.1自“然後再放入101 ℃~105 ℃乾燥箱中乾燥1 h左右……”起依法操作。
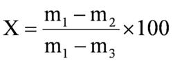
水分[詞語釋義]試樣中的水分的含量按式(1)進行計算。
式中:
X ——試樣中水分的含量,單位為克每百克(g/100g);
m1 ——稱量瓶(加海砂、玻棒)和試樣的質量,單位為克(g);
m2 ——稱量瓶(加海砂、玻棒)和試樣乾燥後的質量,單位為克(g);
m3 ——稱量瓶(加海砂、玻棒)的質量,單位為克(g)。
水分含量≥1 g/100 g時,計算結果保留三位有效數字;水分含量<1 g/100 g時,結果保留兩位有效數字。
![水分[詞語釋義] 水分[詞語釋義]](/img/c/fc2/nBnauM3X4czM5MjN1MjN0ETN1UTM1QDN5MjM5ADMwAjMwUzLzYzLwYzLt92YucmbvRWdo5Cd0FmLxE2LvoDc0RHa.jpg)
