成份
氫溴酸高烏甲素注射液本品主要成份為:氫溴酸高烏甲素,其化學名稱為:(la,14a,16β)-20-乙基-1,14,16-三甲氧烏頭烷-4,8,9-三醇4-[2-(乙醯氨基)]苯甲酸酯氫溴酸鹽一水化合物。
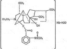
化學結構式:
分子式;CHNO·HBr·HO
分子量:683.64
性狀
本品為無色的澄明液體。
適應症
用於中度以上疼痛。
規格
2ml:4mg。
用法用量
肌肉注射:一次4mg,一日1~2次,或遵醫囑。
靜脈滴註:一日4~8mg,溶於葡萄糖氯化鈉注射液500ml中靜滴。
不良反應
個別患者出現蕁麻疹、心慌、胸悶、頭暈等,停藥後很快消失。
禁忌
尚不明確。
注意事項
本品中毒的早期表現是心電圖的變化(可逆性)。
孕婦及哺乳期婦女用藥
未進行該項實驗且無可靠參考文獻。
兒童用藥
未進行該項實驗且無可靠參考文獻。
老年用藥
未進行該項實驗且無可靠參考文獻。
藥物相互作用
未進行該項實驗且無可靠參考文獻。
藥物過量
未進行該項實驗且無可靠參考文獻。
藥理毒理
藥理學
本品為非成癮性鎮痛藥,具有較強的鎮痛作用。本品還具有局部麻醉、降溫、解熱和抗炎消腫作用。本品與哌替啶相比,鎮痛效果相當,起效時間稍慢,而維持時間較長;鎮痛作用為解熱鎮痛藥氨基比林的7倍。
毒理學
本品無成癮性,動物試驗無致畸胎作用,亦不會發生繼續中毒。急性毒性試驗結果:大鼠經口LD為20mg/kg;小鼠腹腔注射LD為9.1mg/kg,靜脈注射LD為6.9mg/kg。
藥代動力學
未進行該項實驗且無可靠參考文獻。
貯藏
遮光、密閉保存。
包裝
安瓿盛裝,10支/盒。
有效期
24個月。
執行標準
部頒標準二部第五冊

