物質內容
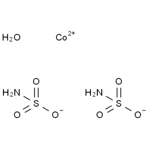
中文名稱: 氨基磺酸鈷
氨基磺酸鈷 英文名稱: cobaltsulfamatehydrate
CAS: 14017-41-5
分子式: Co(NH2SO3)2•4H2O
分子量: 323.14
SMILES: [O-]S(=O)(=O)N.[O-]S(=O)(=O)N.O.[Co+2]
屬性
紅紫色色晶體用途:化學鍍、催化劑、電鍍等。
中文名稱: 氨基磺酸鈷
氨基磺酸鈷 氨基磺酸鎳是一種優良的電鍍主鹽,因其內應力低、電鍍速度快,溶解度大,無污染等,而成為近年國際上發展較快的一種電鍍主鹽。已廣泛套用於電子、汽車、航天、兵器...
氨基磺酸鎳 製備方法- NH3·H2O 銨 氨基磺酸銨 - NH4NH2SO3 氨基甲酸銨... - NH4HF2 二硫代氨基甲酸銨 - NH4S(C=S)NH2 釩酸銨...鉻(III)銨,硫酸鉻銨 - NH4Cr(SO4)2·12H2O 硫酸鈷...
錒 氨 銨 鈀 鋇磺酸二鈉/亞硝基R鹽/試鈷鐵靈/1-亞硝基-2-萘酚-3,6-二磺酸鈉.../8-苯氨基-1-萘磺酸/8-苯胺基-1-萘磺酸/N-苯基-1-萘胺-8...: S0202 4-氨基-2,3-二甲基偶氮苯/4-氨基-2′,3-二甲基偶...
巴比土酸SVHC簡介SVHC,即高度關注物質,來源於歐盟REACH法規。根據REACH法規第57條款,SVHC按照以下標準來確定。非常高...
SVHC簡介 候選清單 相關要求 通報條件 管控現狀基本含義這是一個涉及化學品生產、貿易、使用安全的法規提案,法規旨在保護人類健康和環境安全,保持和提高歐盟化學工業的競爭力,以及研...
基本含義 具體內容 關注物質120-12-7 2 4,4’-二氨基二苯基甲烷 (4,4...-557-4 84-74-2 4 氯化鈷 Cobalt dichloride...
基本概述 SVHC名單 REACH法規 主要區別 存在問題利啶,嘜啶)鹽酸阿法羅定(α-普洛丁,安那度爾,安依痛)乙磺酸匹米諾定...)對乙醯氨基酚(撲熱息痛,醋氨酚,泰諾,必理通)非那西丁(對乙醯基苯乙醚)氨基比林(匹拉米洞)安乃近 保泰松(布他酮)吲哚美辛(消炎痛)桂美辛...
內容介紹 作品目錄- 甲基丙磺酸中文別名:2-丙烯醯氨基-2-甲基-1-丙磺酸; 2-丙烯醯氨基-2-甲基丙烷磺酸; 2-丙烯醯胺-2-甲基丙烷磺酸; 叔丁基 丙烯醯胺磺酸; 2-丙烯醯胺-2-甲基丙硫酸; 2-丙烯醯氨基-2-甲基-1...
安培 模擬軟體 電話系統 產品名稱 分析軟體