氧化偶合聚合
正文
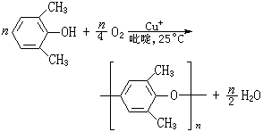
某些帶有活潑氫的化合物在氧化催化劑的作用下起氧化反應,脫氫而偶聯形成聚合物的方法,又稱脫氫縮聚。酚類、乙炔類、芳胺類、芳烴、硫醇類等化合物都可通過氧化偶合聚合生成聚合物。1959年美國通用電氣公司A.S.海等以氯化亞銅和叔胺的絡合物為催化劑,在有機溶劑中使2,6-二甲基苯酚與氧氣作用,聚合成為高分子量的聚2,6-二甲基亞苯基醚:

可以在氯化亞銅存在下,對苯二胺在吡啶中於低溫(-60°C)氧化,生成偶氮聚合物:


此外,通過氧化偶合聚合還可以從苯合成聚對亞苯基(通常稱為聚苯),它兼有耐熱氧化、耐輻射、耐腐蝕等特性。
