在連續介質假設的前提下研究伴有熱效應的氣體介質運動規律的學科。 它是在經典流體力學的基礎上,結合熱力學和化學發展起來的。通常所說的氣體動力學假定氣體是無粘性、不傳熱的。在氣體動力學中,根據運動速度將流動分為亞聲速流動、跨聲速流動、超聲速流動和高超聲速流動,根據流動在空間中的變化特點分為一維流動、二維流動和三維流動;根據空間中毎一點處的流動是否隨時間而改變分為定常流動和非定常流動。按照所處理問題的流場是否為無限大可分為外流問題和內流問題。高速飛行器 (如飛機、飛彈、太空飛行器等)的繞流屬於外流問題;噴氣發動機、風洞、燃氣輪機等設備中的流動則屬於內流問題。 在流動過程中可以有化學變化,也可以沒有化學變化。氣流在空間中可以連續變化,也可以發生突躍變化。激波、爆轟、爆燃現象等就屬於突躍變化。
發展簡史
氣體動力學的早期研究始於19世紀80年代。英國的W. J. M.蘭金和法國的P. H.許貢紐對大波幅的強擾動波(如激波)作了理論研究,得出這種強波前後的壓強比和密度比以及其他參雖比的關係式。這些關係式稱為蘭金-許貢紐關係式(見激波關係式)。1887年奧地利物理學家E.馬赫通過實驗發現,超聲速流動的特徵並不取決於流速的絕對值,而是取決於流速對當地聲速的比值。這個比值後稱為馬赫數。瑞典工程師C.G.P.de拉瓦爾在研製蒸汽渦輪機中發現,要想在噴管中獲得超聲速氣流,按低速流的規律將管道截面作單調的收縮是辦不到的。後來他把噴管做成先收縮後擴張、中間細的形狀,終於得到了超聲速氣流(見拉瓦爾管)。1902年俄國學者C. A。怡普雷金用速度圖法研究了氣體射流。由於當時生產上對高速流動或有熱交換流動研究的需要還不迫切,氣體動力學只處於萌芽階段。在第二次世界大戰屮,飛機發動機功率越來越大,飛機的外形越來越符合高速的要求,活塞發動機飛機的飛行速度已達到聲速的0.5〜0.6倍。到第二次世界大戰末期,噴氣發動機問世,飛機發展的形勢要求研究高亞聲速和超聲速流動問題,也要求研究噴氣發動機內部的流動和燃燒問題,氣體動力學便應運而蓬勃發展起來了。
學科內容
從理論上研究氣體動力學問題,必須首先根據自然界的基本規律(如質量守恆、動量守恆和能量守恆規律)建立流動過程中氣體流速、壓強、密度、溫度等物理量所應滿足的基本關係式,這些關係式就是氣體動力學基本方程(見流體力學基本方程組),基本方程可以是微分形式,也可以是積分形式。在一般情況下,方程複雜,求解也很困難。因此,在理論研究中,往往須根據具體的流動現象,對方程進行簡化,從而形成各種不同的理論,如小擾動理論、細長體理論、邊界層理論等。氣體動力學利用所建立的基本方程研究一維或多維的連續流動、各種有突躍變化的流動以及有化學反應的流動等。
一維定常連續流動
不可壓縮流動的流體密度是基本不變的,所以在理論研究中,可把運動學問題和動力學問題分開考慮。可壓縮流動則不然,在流動過程中,隨著流速的變化,氣體的壓強、密度和溫度等也起變化,因而必須同時考慮運動學關係、動力學關係和熱力學關係。一維定常流動的分析能夠最清楚地說明這一問題。許多內流問題可以近似地作為一維流動處理。
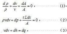
將基本方程用於無化學變化的一維定常流動,微分形式的質量方程、動量方程和能量方程分別為:
氣體動力學[力學的一個分支]
氣體動力學[力學的一個分支]
氣體動力學[力學的一個分支]
氣體動力學[力學的一個分支]式中為密度;v為流速;A為流管截面積;x為流向坐標;;為管壁上的摩擦應力;L為管截面的周長;A/L稱為平均水力直徑,對於圓管,A/L就等於直徑D;h為比焓(單位質量氣體的焓);dq為在dx管長上加給單位質量氣體的外熱。上述方程中包括了管截面變化、摩擦和熱交換的作用。摩擦應力通常用摩擦係數表達:
氣體動力學[力學的一個分支]一維定常連續流動的幾種重要的流動情況如下:
①絕熱無摩擦的等熵流動 在這種流動中,式(2)和(3)完全相同。從式(1)、(2)得,
氣體動力學[力學的一個分支]
氣體動力學[力學的一個分支]
氣體動力學[力學的一個分支]
氣體動力學[力學的一個分支]
氣體動力學[力學的一個分支]
氣體動力學[力學的一個分支]式中為馬赫數;c為當地聲速。從式(5)可知,要使氣流在管道里不斷增大速度,在亞聲速時,應為負,即管道應收縮;在超聲速時,應為正,即管道應擴張。所以,產生超聲速氣流的管道(即拉瓦爾管)形狀須先收縮後擴張。氣流在拉瓦爾管的最小截面(即喉道)處達到聲速。超聲速風洞、火箭發動機、蒸汽和燃氣渦輪機中都用到拉瓦爾管形伏的管道。
②絕熱有摩擦的非等熵流動在這種流動中熵必增大。因dq=0,從式(1)、(2)、(3)和氣體狀態方程可得:
氣體動力學[力學的一個分支]
氣體動力學[力學的一個分支]
氣體動力學[力學的一個分支]
氣體動力學[力學的一個分支]
氣體動力學[力學的一個分支]式中為氣體的比熱比。總是正的,所以當時,摩擦使氣流加速,即反之,當時,摩擦使氣流減速,即;或者說在亞聲速流動時,摩擦使氣流膨脹,而在超聲速流動時,摩擦使氣流壓縮,二者都以聲速為極限。亞聲速氣流不能靠摩擦加速成為超聲速氣流,超聲速氣流也不能通過摩擦的連續作用而逐漸減速為亞聲速氣流。對乾某一給定的入口流動條件,流動管道有一極限長度,這就是使出口氣流達到聲速的長度,管道長度超過此極限長度時,氣流出現壅塞,流動被迫自行調整,以使出口截面處的流動速度恰為聲速。
氣體動力學[力學的一個分支]
氣體動力學[力學的一個分支]
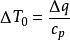
氣體動力學[力學的一個分支]③一維定常非絕熱流動 常見於熱交換器中的流動。對於噴氣發動機燃燒室內的流動,若不細緻研究燃燒過程,也可以歸為這一類流動。在有交換熱量時,氣流的總比焓的變化為,總溫的變化則為(為氣體的定壓比熱)。若略去摩擦作用(即 f=0),從式(1)、(2)、(3)可得總溫變化所引起的速度變化:
氣體動力學[力學的一個分支]
氣體動力學[力學的一個分支]
氣體動力學[力學的一個分支]
氣體動力學[力學的一個分支]
氣體動力學[力學的一個分支]
氣體動力學[力學的一個分支]
氣體動力學[力學的一個分支]
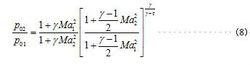
氣體動力學[力學的一個分支]對於亞聲速流動,加熱時,流速增大,壓強、密度都減小,靜溫起初上升,但在的範圍內,T卻略有下降。對於超聲速流動,加 熱時,流速減小,壓強、密度、溫度都增大。對於給定的入口流動條件,加熱量有個極限,這就是使流速正好達到聲速的熱量。若超過此值,氣流壅塞並自行調整,使出口處氣流流動速度恰為聲速。氣流經加熱,變為,其總壓必有所下降,總壓變化關係為:
氣體動力學[力學的一個分支]
氣體動力學[力學的一個分支]
氣體動力學[力學的一個分支]
氣體動力學[力學的一個分支]
氣體動力學[力學的一個分支]
氣體動力學[力學的一個分支]式中和分別相應於和。加同樣的熱量,總壓降低的程度還取決於的大小。對於亞聲速流動,越小,總壓損失越小。對於冷卻過程,dq<0,一切變化恰同加熱時相反。
多維定常連續流動
各種飛行器的外流問題都屬於多維流動,許多內流問題也必須按多維流動問題來處理,如壓氣機、渦輪機中的流動問題,飛機進氣道和噴管中的流動問題等。多維流動的研究比一維流動要複雜得多,往往要根據具體的流動情況,採取不同的研究方法。如繞飛行器的外流按飛行馬赫數分為亞聲速流動、跨聲速流動、超聲速流動、高超聲速流動。為了研究繞機翼的流動,有翼型理論、舉力線理論、舉力面理論;研究葉輪機中流動問題的理論有葉柵理論、三維流動理淪等(見流體機械的內波原理)。
突躍交化
不論是一維流動還是多維流動,在整個流場上流動一般都是連續變化的,但在局部區域可能出現突躍式的變化,如激波、爆轟和爆燃等。突躍變化十分迅速,所占空間尺寸極小,與巨觀尺度相比可以忽略不計,理論上可以作為無厚度的突躍面來處理,用一維流理論建立突躍變化前後諸物理量之間的關係。
有化學反應的流動
太空飛行器重返大氣層的流動問題,同燃燒有關的問題等都是典型的有化學反應的流動問題。在進入大氣層時,太空飛行器的速度約為6000〜7000米/秒,相應的馬赫數約在20左右。為安全著陸,必須把動能消耗掉。高速氣流經物體頭部激波的強烈壓縮和物面周圍的粘性層的粘件阻滯而消耗動能。物體頭部激波後的氣流溫度十分高,為防止飛行器被燒毀,飛行器的頭部都採用防護。防護層S的構造分外層和內層。外層物質在高溫下能發生吸熱的化學物理變化,或者碳化,或者融熔,或者氣化;內層是隔熱層,儘量不使餘熱傳入飛行器的內部。外層在燒蝕過程中有大量物質起化學變化,
有些氣化,有些離子化。這些物質混入物面附近的氣流中,使該處的流動大為複雜化,一般的邊界層概念在這裡不適用,必須考慮氣流中的化學變化和組分變化,須用複雜的程式和數值計算求解(見化學反應邊界層)。太空飛行器在重返大氣層時,在它的後面形成高超聲速尾跡,其中含有大量的自由電子和離子,用雷達可探測到它們的存在。尾跡中電子數密度的大小、電子數的衰減速率和尾跡對雷達波的回響特性是尾跡研究的主要內容。
對於在流動中的可燃混合氣休的普通燃燒問題,燃焰的推進速度具有重要的意義。流動速度大於燃焰速度時,火焰會熄滅。確定燃焰速度的完備理論要套用化學動力學和流體動力學的理論,情況十分複雜。目前化學動力學的發展水平還不能把一切有關因素都考慮進去。簡化的理論有三種:熱力理論、擴散理論和綜合理論。熱力理論認為,只要單位時間內燃燒所釋放的熱量大於燃後氣體散給周圍未燃混合氣體的熱量,燃燒就會繼續下去。這是一種熱傳輸主導現象的理論。擴散理論認為,只要原子和離子之類的活性粒子的生成率大於消滅率,燃燒就會繼續下去。這是活性粒子擴散主導現象的理論。綜合理論則認為,須同時考慮能量輸運、質量輸運和其他一切可能的因素。對這個問題的理論處理有兩種方法: 一種是側重於流體動力學方面的關係,而把燃燒過程當作附帶的因索;另一種是側重於燃燒過程,而把流體動力學關係當作附帶的因素。究竟應該側重哪一方面,要根據具體物理現象而定。在數學上處理這個問題要解複雜的三維流動方程,這是一個難題:在化學動力學方面能否把靜止狀態(非流動狀態)下的關係用於流動狀態也是個問題。正因為理論上還有許多難題有待解決,經驗公式是很有實用價值的。經驗得出的燃焰速度因氣體的成分及其條件而異。
其他 隨著科學技術的發展,氣休動力學出現了不少新的分支,如高溫氣體動力學、稀薄氣體動力學、電磁氣體動力學和宇宙氣體動力學等。這些學科近年來發展很快,逐步形成了獨立的學科。
