簡介
架空線路指高壓送電線路、通訊線路和電氣化鐵路的接觸網等用鐵塔、水泥或木質桿柱把電線架在空中的線路。架空線路穿越不同的氣候區和地理環境,經受烈日高溫,電擊雷劈,狂風暴雨,嚴寒重冰。一旦電線中斷,或桿塔倒塌,供電或通訊停止,對國民經濟會造成巨大損失。我國通訊線路由於電線覆冰而倒桿的,1954~1955年度為1325桿,1956~1957年度1064桿。雲南省1960~1994年間,送電線路發生覆冰倒桿斷線事故101次,少送電12×10 W·h。1984年1至2月,貴州大範圍覆冰,使輸電網割裂為4片。輸變電設備直接損522.1萬元用戶線路及變電設備損失444.2萬元;工交、郵電部門直接經濟損失2 048.5萬元;全省國營林場有一半以上受害;僅西部27個林場,受災面積達2.2×10 m ,損失木材6×10 m 。美國1990年3月7~8日在衣阿華、南達科他和內布拉斯加州出現了大範圍風暴和冰,嚴重處電線的冰厚達120 mm。有一條27 km長的高壓饋電線倒塔78基。各地共有19km的電纜損壞,維修費需1500萬美元。兩個州的電力系統直接損失約2 000萬美元。僅一城市對風暴所摧殘的市容和房屋進行清理,就花費210萬美元。
線路的覆冰和大風的隨機性很大,設計標準若低於實際,難免發生事故。如我國500kv銭路從1988年到1993年倒塔4次,計19基。分析其原因,是由於出現的冰與風荷載超過了設計荷載,以及材料和設計質量有一些實質性的缺陷。如果一味要求保證線路的可靠性,盲目按照高標準設計,投資成本太大,也造成經濟損失。所以,要作出合理的設計,既保證安全,又節約投資。
氣象對線路的機械性能的影響
為敘述的方便,把導線、地線、避雷線、電話線及其附屬小件設備如線夾、絕緣子等統稱為電線。鐵塔、水泥桿柱等支撐物統稱為桿塔。線路則包括兩者。氣象對線路的機械性能的影響有以下幾方面。
1.電線和桿塔承受的氣象荷載。大風對電線施加水平荷載覆冰對電線施加重力,連同電線的自重構成垂直荷載。覆冰還使電線受風的面積加大,使水平荷載增大。電線承受水平和垂直荷載的合力,稱綜合荷載,以比載計,即電線每米長、每平方厘米橫截面積所受到的力。低溫時電線收縮,拉力加大。冰與風綜合荷載如超過器件的承受力,或者覆冰造成一檔斷線後桿塔兩面的拉力不平衡,或桿塔兩側不同期脫冰造成拉力不平衡,都可能使絕緣子、金具或橫擔損壞,防震錘彎曲,球頭磨損及變形,桿塔變形以至倒塌。如1984年1月17~19日華東三省不少線路覆冰達6.5 N/m,超過設計荷載的8.8倍,折斷鐵橫擔10 175根,斷桿4 499基。
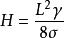
2.氣象與電線的弧垂。電線下垂的最低點距懸掛高度的距離稱為弧垂。為了保證電線距地有一個安全的距離,要控制弧垂。綜合比載越大,氣溫越高(使電線的拉力越小),檔距正越長,則弧垂(H)越大。它們有以下關係
氣象對架空線路的影響為了控制弧垂,要了解可能造成最大弧垂的溫度和荷載的情況。
3.氣象與電線的振動。微風吹過電線,背風一側渦旋不斷生消的衝擊力,使電線發生高頻的顫動。顫動頻率如與電線的振動頻率共振,形成微風振動。它使線夾處的電線發生金屬疲勞,直至斷股斷線。陣風對電線、特別是覆凍的電線有鉛直的分力,使電線發生鉛直方向的舞動。通訊線舞動會絞線;損壞絕緣子使絕緣子翻轉到橫擔上使桿塔的結合點鬆動。
4.覆冰與電線的扭轉。覆冰往往先在電線的迎風一側增長,對電線產生扭轉的力矩。電線扭轉時如果發生舞動,可能線上夾附近折斷。
氣象對線路的電氣和電訊性能的影響
1.雷電 雷電感應或擊中電線,產生超常的大氣過電壓,使導線和桿塔或橫擔之間發生閃絡,損壞線路,或擊穿絕緣物,破壞電器設備。
2.雨、雪和霧 導線周圍一薄層空氣若被電離,電線會向外持續放電,有光,稱為電暈。電暈損耗電力。下雨、下雪或濃霧時,空氣潮濕,容易發生電暈I使設備絕緣能力降低,容易發生閃絡、跳閘芸至短路通訊線絕緣力減低,訊號衰弱,通話質量降低。覆冰時通訊線載波衰耗大,雜音增加。
3.風 風使電線偏離平衡的位置,是為風偏。風偏使導線和其他物體的間隙減小,可能發生閃絡放電,燒壞電線,或使瓷瓶老化而減弱絕緣能力,跳閘或短路。風從橫向吹來,使並排的幾條電線不同步地擺動,有時會閃絡或絞線。
4.覆冰 覆冰使導線弧垂增大,對跨越物(如通訊線、樹木等)閃絡放電。電線覆冰時表面不規則,風吹過時產生不同方向的分力,電線容易舞動或搖擺,使部分覆冰脫落,電線跳躍。跳躍激發電線這個彈性系統發生波動,使覆冰陸續脫落,繼續引發跳躍。脫冰不均勻使導線跳躍舞動,稱為脫冰跳躍。舞動和脫冰跳躍有時使導線和地線或避雷線靠近,間隙不足而放電,可能絞線。
