定義
在北(南)半球自然坐標中沿著流線法線方向的水平速度梯度的渦度垂直分量為正(負)的切變。
渦度分量
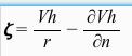
渦度垂直分量可以表示為:
氣旋性切變上式表明相對渦度垂直分量由兩項組成,右邊第一項與流線的彎曲形狀有關,稱為曲率渦度。在自然坐標系中,由於Vh總是正值,故當流線呈氣旋性彎曲時,r>0,曲率渦度Vh/r>0;當流線呈反氣旋式彎曲時,r<0,曲率渦度Vh/r>0。
上式中第二項與水平風速沿著流線的法線的分布不均勻有關,稱為切變渦度。在速度沿著流線法線方向減小的區域,如在北半球西風急流軸的北側或東風急流軸的南側,切變渦度為正;在速度沿著流線法線方向增加的區域,如在北半球西風急流軸的南側或東風急流軸的北側,切變渦度為負。
對於不同的流型,有時曲率渦度項比較大,有時切變渦度項比較大,因此在不做精確分析時,可只考慮其中較大的一項。例如,在氣旋或反氣旋中心附近,可只考慮曲率渦度項,而在鋒區或急流區可只考慮切變渦度項。

