物理性質
氟化銅淺灰白色粉末,在潮濕空氣中形成二水物,為藍色結晶。
溶解性:溶於稀的無機酸和熱水,微溶於冷水,不溶於醇。
化學性質
氟化銅氟化銅950℃以上熔融態失氟:
2CUF2→2CuF+F2
2CuF→CuF2+Cu
氟化銅可與氟離子(F− )配合生成CuF− 3、CuF42− 和CuF64− 。
製備方法
氟化銅可由銅與氟氣在400℃反應製得:
Cu+F2→CuF2
用途
用作高溫氟化劑。
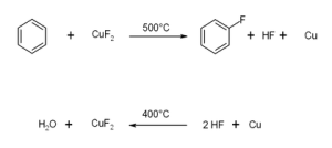
氧氣存在下,芳香烴與氟化銅在450°C以上反應可用於製取氟代芳烴,比桑德邁爾反應簡單的多,但只適用於對熱穩定的化合物。
健康危害
刺激眼睛、呼吸系統和皮膚;避免皮膚和眼睛接觸。 對眼睛、皮膚、黏膜有刺激作用。接觸可引起唾液分泌增加、噁心、嘔吐、腹痛、發燒、呼吸困難。其粉塵、蒸氣或煙霧可引起鼻中隔穿孔。
環境危害
對環境有危害,對水體可造成污染。
燃爆危險
本品不燃,有毒。
禁配物
酸類、水。
急救措施
皮膚接觸
脫去污染的衣著,用大量流動清水沖洗。
眼睛接觸
提起眼瞼,用流動清水或生理鹽水沖洗。就醫。
吸入
迅速脫離現場至空氣新鮮處。保持呼吸道通暢。如呼吸困難,給輸氧。如呼吸停止,立即進行人工呼吸。就醫。
食入
飲足量溫水,催吐。就醫。
消防措施
危險特性
遇酸分解,放出腐蝕性的氟化氫氣體。遇高熱分解釋出高毒煙氣。
有害燃燒產物
氟化氫。
滅火方法
儘可能將容器從火場移至空曠處。切勿將水流直接射至熔融物,以免引起嚴重的流淌火災或引起劇烈的沸濺。滅火劑:霧狀水、泡沫、乾粉、二氧化碳、砂土。
泄漏應急處理
應急處理
隔離泄漏污染區,限制出入。建議應急處理人員戴防塵口罩,穿防毒服。不要直接接觸泄漏物。小量泄漏:用水潤濕,收集於密閉容器中。大量泄漏:收集回收或運至廢物處理場所處置。
操作儲存
操作注意事項
密閉操作,局部排風。防止粉塵釋放到車間空氣中。操作人員必須經過專門培訓,嚴格遵守操作規程。建議操作人員佩戴自吸過濾式防塵口罩,戴化學安全防護眼鏡,穿防毒物滲透工作服,戴乳膠手套。避免產生粉塵。避免與酸類接觸。配備泄漏應急處理設備。倒空的容器可能殘留有害物。
儲存注意事項
儲存於陰涼、乾燥、通風良好的庫房。遠離火種、熱源。防止陽光直射。包裝密封。應與酸類、食用化學品等分開存放,切忌混儲。儲區應備有合適的材料收容泄漏物。
包裝方法
塑膠袋或二層牛皮紙袋外纖維板桶、膠合板桶、硬紙板桶;塑膠袋外塑膠桶(固體);塑膠桶(液體);塑膠袋外複合塑膠編織袋(聚丙烯三合一袋、聚乙烯三合一袋、聚丙烯二合一袋、聚乙烯二合一袋);塑膠袋或二層牛皮紙袋外普通木箱;螺紋口玻璃瓶、鐵蓋壓口玻璃瓶、塑膠瓶或金屬桶(罐)外普通木箱;螺紋口玻璃瓶、塑膠瓶或鍍錫薄鋼板桶(罐)外滿底板花格箱、纖維板箱或膠合板箱。
生態學資料
該物質對環境有危害,建議不要讓其進入環境。應特別注意對水體的污染。
廢棄處置
用安全掩埋法處置。在能利用的地方重複使用容器或在規定場所掩埋。量小時,小心溶解於水中,用碳酸鈉中和,如果不能完全溶解,先加入小量鹽酸,接著加入碳酸鈉,然後加入過量氯化鈣沉澱氟化物、碳酸鹽。濾出固體當作有害廢物在規定場所掩埋。
