定義
標準定義
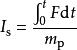
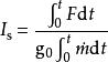
“比衝量”(specificimpulse)是衡量火箭發動機燃料的能量利用效率的標準量,英文縮寫為Isp。比沖的定義為單位推進劑的量所產生的衝量。其中推進劑的量有兩種描述方式,一種是重量描述,一種是質量描述。相應的定義式如下:
| 重量描述 | 質量描述 |
比衝量 | 比衝量 |
其中:
比衝量
比衝量
比衝量:推進劑的重量
:推進劑的質量
比衝量
比衝量
比衝量需要注意的是,一般“重量”概念與地表附近的引力場有關,但在太空或軌道中“重量”只表示質量乘以標準重力加速度(或稱標準重力) ,即 ,是一個約定的常數,不隨所處引力場位置變化而變化。
擴展定義
比衝量
比衝量
比衝量將定義式進行擴展。利用 , 以及 可以得到下式:
| 重量描述 | 質量描述 |
比衝量 | 比衝量 |
比衝量
比衝量
比衝量
比衝量
比衝量其中:
:發動機推力,:推進劑質量流速,即,
:標準重力加速度,精確定義為。
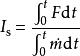
上面定義的是瞬時比沖,我們還可以對時間積分寫出時間平均下的比沖表示:
| 重量描述 | 質量描述 |
比衝量 | 比衝量 |
比衝量
比衝量
比衝量其中, 表示發動機工作時間。上式中的推力 與推進劑質量流速 都可以隨時間變化而不同。
比衝量可以發現,在重量和質量兩種描述下,比沖的表示僅僅只是相差一個常數因子。
對於液體發動機,容易測量每時刻的推力以及推進劑流速,從而計算瞬時或平均比沖;但是固體發動機很難計算推進劑流速,因此通常用下式計算平均比沖:
| 重量描述 | 質量描述 |
比衝量 | 比衝量 |
比衝量
比衝量其中, 表示在發動機工作時間 內消耗的推進劑質量。
單位
根據比沖的定義式,容易寫出比沖的量綱。通用的單位有國際單位(米,千克,秒)與美國常用的英制工程單位(英尺,磅,秒)兩種。
| 重量描述 | 質量描述 | |
| 量綱 | 比衝量 | 比衝量 |
| 國際單位 | 比衝量 | 比衝量 比衝量 |
| 英制工程單位 | 比衝量 | 比衝量 比衝量 |
影響因素
是衡量火箭發動機特性的重要參數,單位是秒(s)。比沖大小對火箭的射程影響很大,比沖越高,射程越遠。要獲得高比沖推進劑,要求推進劑具有高的化學能、高的燃燒效率和高的噴管效率,噴管形狀直接影響比沖的大小。
比衝量越高,火箭獲得的總動力越大,最終的速度越快,典型的固體火箭發動機的比衝量可以達到290秒,液體火箭主發動機的比衝量則是300至453秒,而離子發動機則能獲得更大的比衝量。按照上面的定義,用物理學的單位換算,比衝量的單位是米每秒m/s,與速度V單位相同:FT/M=MV/M=V,與上述簡化單位相差一個重力加速度g:FT/M=MgT/M=gT。例如“比衝量可以達到290秒”是指火箭噴出的燃料的速度可以達到290*g=2900m/s。比衝量與火箭噴出的燃料的速度成正比,要提高比衝量,就要想辦法提高火箭噴出的燃料速度。比衝量的極限即為燃料噴出速度達到光速,換算成以秒作單位則是3×10^8秒。
常見發動機比衝量
液體火箭發動機的比衝量為2500-4600牛秒/千克;
固體火箭發動機比衝量為2000~3000牛秒/千克;
渦輪噴氣發動機比衝量為30000~40000牛秒/千克;
渦輪風扇發動機可達72000牛秒/千克。

比衝量
比衝量
比衝量
比衝量
比衝量
比衝量
比衝量
比衝量
比衝量
比衝量
比衝量
比衝量
比衝量
比衝量
比衝量 