
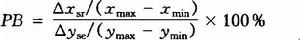
比例帶PB50%系指:在被控量產生50%的輸入偏差時,調節機構能輸出滿量程(從全開全關)變化。比例帶對調節過程影響較大。增大比例帶,它意味比例作用減弱、調節器放大倍數減小、提高系統穩定性和增大系統靜態偏差;反之,減小比例帶,又意味提高系統精度,降低系統穩定性。比例帶是調節器主要整定參數之一。應結合控制系統的要求進行調整,一般在20%~500%範圍內。比例帶與放大倍數是反映比例作用強弱的兩種表示方法。前者,在給定值不變時,表示比例調節器輸出作全量程變化時,輸入的被控量需要改變多少;後者表示比例元件或環節的放大作用。
比例帶