公式概念
為了明確解釋變數和隨機誤差各產生的效應是多少,統計學上把數據點與它在回歸直線上相應位置的差異稱為殘差,把每個殘差平方之後加起來 稱為殘差平方和,它表示隨機誤差的效應。一組數據的殘差平方和越小,其擬合程度越好。
計算
按定義,殘差平方和應為
等精度測量:
殘差平方和
殘差平方和﹝ ﹞
非等精度測量:
殘差平方和
殘差平方和﹝ ﹞
殘差平方和
殘差平方和
殘差平方和式中 是測量數據 的殘差, 為相應的權。在一般情況下
殘差平方和
殘差平方和式中, 為直接測量參數的估計值。
對於線性參數,殘差為
殘差平方和
殘差平方和式中
用矩陣形式表示的殘差平方和為
殘差平方和
殘差平方和﹝ ﹞=
線性參數測量數據的殘差平方和可進一步寫成
殘差平方和(對等精度測量)
殘差平方和(對非等精度測量)
式中符號的意義與前面相應的的符號一致。
以上給出了殘差平方和的一般形式。在具體解算時,從計算方便考慮,對不同的解算方法,殘差平方和的計算各有相應的具體方法。
性質
解釋變數與殘差平方和
殘差平方和RSS具有以下性質:
性質1 只有常數項沒有其他解釋變數的回歸方程的RSS和TSS相等,其決定係數為0。
性質2 增加解釋變數必然導致RSS減小。因此,如果想降低RSS,只要在回歸方程中儘可能地加入解釋變數就能達到目的。
性質3 包含常數項全部解釋變數的個數K等於樣本數n時,RSS為0,決定係數為1。
F檢驗和t檢驗之間的關係
在一些場合t檢驗不僅可以進行雙側檢驗,也可以進行單側檢驗。而F檢驗沒有單側和雙側的區別。當進行雙側檢驗的時候兩種檢驗的P值相同。
分布
機率分布
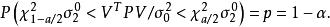
殘差平方和殘差帶權平方和除以單位權方差服從 分布。即
殘差平方和
殘差平方和
殘差平方和式中自由度f就是平差中多餘觀測數。由於 , ,f對於一個平差系統是不變數,與具體採用的平差方法無關。
數學期望和方差
殘差平方和易知 的數學期望為
殘差平方和由此可知
殘差平方和
殘差平方和
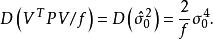
殘差平方和即單位權方差 為 的無偏估計。
且
殘差平方和則有
殘差平方和或
殘差平方和
殘差平方和
殘差平方和
殘差平方和
殘差平方和即方差估計 的標準差與 成正比與 成反比。可見自由度f 愈小,方差估計 的精度就愈差。
機率表達式
殘差平方和或
殘差平方和
殘差平方和
殘差平方和
殘差平方和
殘差平方和分位值 , 以自由度f和顯著水平 可由 分布表中查得。

