基本介紹
正合三角形
正合三角形
正合三角形
正合三角形
正合三角形
正合三角形設M,N,K是三個左R-雙分次模,並設 分別是及 雙次映射,若 在N處正合, 在K處正合, 在M處正合,則稱圖
圖1在每一個頂點處正合,並稱此三角形是 正合三角形。
相關概念
正合偶
正合三角形
正合三角形
正合三角形
正合三角形
正合三角形正合偶(exact couple)是由兩個 雙分次模所組成的正合三角形,它是馬西(W.S.Massey)提出的,是譜序列理論一個重要概念。由正合偶可得出其導出偶,且由此可得出譜序列。若 與 為兩個雙分次模, 與 是分次模映射,依次有次數 ,使在下列三角形的每個頂點處都正合,
圖2亦即有長正合序列:
正合三角形
正合三角形
正合三角形
正合三角形
正合三角形
正合三角形則稱 連同 與 組成一個 正合偶,記為 ,由正合偶可得出其 導出偶,且由此可得出譜序列。
我們可以利用函子來作正合偶,即有下面定理。
定理1設已給兩個加法共變函子
正合三角形
正合三角形且滿足:
正合三角形(i) 是左正合的;
正合三角形
正合三角形
正合三角形
正合三角形
正合三角形(ii) 當 時, , 內射左 一模 。
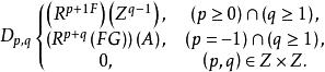
若A是左R-模,我們取定A的一個內射分解
正合三角形
正合三角形並記 。
命:
正合三角形
正合三角形
正合三角形
正合三角形
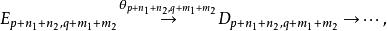
正合三角形則存在雙次數分別是 的雙次映射 使 是一個正合偶,也即有正合三角形
圖3雙分次模
雙分次模(bigraded module)是分次模概念的推廣,指一些雙指標的A模所組成的序列。若M={M|p,q∈Z}是由A模M所組成的序列,Z是整數集,稱M={M|p,q∈Z}為一個 雙分次模或稱為 雙次模。若N={N|p,q∈Z}也是一個雙分次模,m與n為一對整數,則模同態f:M→N的集合f={f|p,q∈Z}稱為由M到N的[m,n]次的 分次模映射。

