符號
正割的數學符號為sec,出自英文secant。該符號最早由數學家吉拉德在他的著作《三角學》中所用。
定義
正割函式
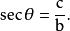
正割函式正割是三角函式的正函式(正弦、正切、 正割、正矢)之一,所以在 到 的區間之間,函式是遞增的,另外 正割函式和餘弦函式互為倒數。
在單位圓上,正割函式位於割線上,因此將此函式命名為正割函式。
和其他三角函式一樣,正割函式一樣可以擴展到複數。
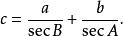
直角三角形中
圖1.直角三角形在直角三角形中,一個銳角∠A的 正割定義為它的斜邊與鄰邊的比值,也就是:
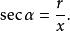
正割函式直角坐標系中
正割函式
正割函式設α是平面直角坐標系xOy中的一個象限角, 是角的終邊上一點, 是P到原點O的距離,則α的正割定義為:
正割函式單位圓定義
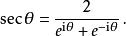
圖2.單位圓圖像中給出了用弧度度量的某個公共角。逆時針方向的度量是正角而順時針的度量是負角。設一個過原點的線,同 x軸正半部分得到一個角θ,並與單位圓相交。這個交點的 y坐標等於sinθ。在這個圖形中的三角形確保了這個公式;半徑等於斜邊並有長度1,所以有了secθ=1/ x。單位圓可以被認為是通過改變鄰邊和對邊的長度並保持斜邊等於1查看無限數目的三角形的一種方式。
對於大於2π或小於−2π的角度,簡單的繼續繞單位圓鏇轉。在這種方式下,正割變成了周期為2π的周期函式:
正割函式對於任何角度θ和任何整數 k。
與其他函式定義
正割函式和餘弦函式互為倒數
即:
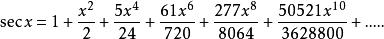
正割函式級數定義
正割也能使用泰勒級數來定義:
正割函式微分方程定義
sec的微分是sec和tan的乘積:
正割函式sec的導數如下:
正割函式
正割函式
正割函式
正割函式另外:
正割函式所以微分方程定義為:
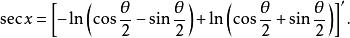
正割函式指數定義
正割函式恆等式
和差角公式
正割函式正割積分
巴洛在1670年提出正割的積分:
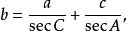
正割函式正割定理
有一些含有正割的恆等式,滿足任意三角形ABC:
正割函式
正割函式
正割函式這些實際上是射影定理的倒數。
性質
正割曲線
圖3.正割函式圖像(值域:(-∞,-1]∪[1,+∞))在y=secx中,以x的任一使secx有意義的值與它對應的y值作為(x,y).在直角坐標系中作出的圖形叫正割函式的圖像,也叫正割曲線。
函式性質
正割函式(1)定義域,x不能取90度,270度,-90度,-270度等值;即為{x |x≠kπ+,k∈Z}。
正割函式(2)值域,secx≥1或secx≤-1,即為。
(3) y=secx是偶函式,即sec(-θ)=secθ.圖像對稱於y軸。
(4) y=secx是周期函式,周期為2kπ(k∈Z,且k≠0),最小正周期T=2π。
正割函式
正割函式
正割函式(5) 單調性:(2kπ- ,2kπ],[2kπ+π,2kπ+ ),k∈Z上遞減;在區間[2kπ,2kπ+ ),(2kπ+π/2,2kπ+π],k∈Z上遞增。

