簡介
乘積型鑒相器的鑒相特性曲線工作原理
正交鑒頻器工作原理圖如右圖,兩個輸入信號分別為:調相波 u1=U1msin(ωct+Δφ)
本地參考信號 u2=U2mcosωct
正交鑒頻器(1)u1和u2均為小信號
當|U1m|≤26mV、|U2m|≤26mV時,可得輸出電流為:
計算式1式中,K=Io/(4U2T),為乘法器的相乘增益因子。 通過低通濾波器後,上式中第二項被濾除,於是可得輸出電壓為:
計算式2鑒相器靈敏度為:
計算式3(2)u1為小信號,u2為大信號
當|U1m|≤26mV、|U2m|≥100mV時,得輸出電流為:
計算式4鑒相器靈敏度為:
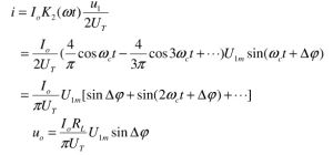
計算式5(3)u1和u2均為大信號
當|U1m|≥100mV,|U2m|≥100mV時,可得輸出電流為:
計算式6鑒頻特性
鑒頻器的鑒頻特性曲線
