

相關詞條
-
《上帝擲骰子嗎》
想到他的發現裡面所蘊藏的巨大的商業意義。在卡爾斯魯厄大學的那間實驗室里...
《上帝擲骰子嗎》 序 第一章 黃金時代 第二章 烏雲 第三章 火流星 -
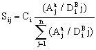
商業圈
商業圈,也即商圈,是指商店以其所在地點為中心,沿著一定的方向和距離擴展,吸引顧客的輻射範圍,簡單地說,也就是來店顧客所居住的區域範圍。無論大商場還是小商...
商業圈概念 設定方法 -
有限型決策
有限型決策(limited decision making)指消費者對某一產品領域或該領域的各種品牌有了一定程度的了解,或者對產品和產品品牌的選擇建立起...
消費者購買決策類型 三種決策的區別 消費者購買決策過程的一般模型 -
選址問題
的設施是指與生產、商業流通及人類生活有關的用地規模相對較小的具體網點、場所...問題的整數規劃模型。隨後 Minieka、Moore 和 ReVelle...的最大覆蓋問題,他們把任意一個服務站繁忙的機率當作外生變數,目標函式是服務站...
簡介 綜述 -
商業地產選項
、3 哈夫模型 案例:“引力機率”分析(05) 4、6、4 “引力... 消費商圈的形式 4、6 商圈的引力模型 4、6、1 萊利法則...,關於“城市與經濟”、“商業與地產”、“消費與人性”的系統經驗與思考。而且...
出版信息 內容提要 作者簡介 目 錄 -
《商業地產選項》
(04) 4、6、3 哈夫模型 案例:“引力機率”分析(05) 4、6... 消費商圈的含義 4、5、2 消費商圈的形式 4、6 商圈的引力模型...作者在20年的商業地產實踐中,關於“城市與經濟”、“商業與地產”、“消費...
出版信息 內容提要 作者簡介 -
聚類算法
的。在商業上,聚類可以幫助市場分析人員從消費者資料庫中區分出不同的消費群體來... methods)、基於模型的方法(Model-Based Methods...(categorical/nominal),序數型(ordinal)數據,或者這些數據類型...
算法起源 算法用途 聚類要求 算法分類 具體方法 -
系統深層排毒
毒素A型、葡萄球菌腸毒素B型等被作為或研究要將其作為戰爭新毒劑。天然毒素...
內容簡介 全書目錄 行業評價 量子醫學 -
《反通脹戰爭》
就必須承受因原材料價格上升,所造成的成本推動型通貨膨脹。另一方面,生物...
作者簡介 內容簡介 名家推薦 全球通脹與次貸危機
