定義
這種屬性所表達的概念應該是清晰的,界限分明的。因此每個對象對於集合的隸屬關係也是明確的,非此即彼。但在人們的思維中還有著許多模糊的概念,例如年輕、很大、暖和、傍晚等,這些概念所描述的對象屬性不能簡單地用“是”或“否”來回答,模糊集合就是指具有某個模糊概念所描述的屬性的對象的全體。由於概念本身不是清晰的、界限分明的,因而對象對集合的隸屬關係也不是明確的、非此即彼的。這一概念是美國加利福尼亞大學控制論專家L.A.扎德於 1965 年首先提出的。模糊集合這一概念的出現使得數學的思維和方法可以用於處理模糊性現象,從而構成了模糊集合論(中國通常稱為模糊性數學)的基礎。
模糊集合給定一個論域 U,那么從 U到單位區間 [0,1] 的一個映射 稱為 U上的一個 模糊集,或 U的一個 模糊子集。
表示
模糊集可以記為 A。 映射(函式) μ(·) 或簡記為 A(·) 叫做模糊集 A的隸屬函式。 對於每個 x∈ U, μ( x) 叫做元素 x對模糊集 A的 隸屬度。
模糊集的常用表示法有下述幾種:
(1)解析法,也即給出隸屬函式的具體表達式。
模糊集合(2)Zadeh 記法,例如 。分母是論域中的元素,分子是該元素對應的隸屬度。有時候,若隸屬度為0,該項可以忽略不寫。
模糊集合(3)序偶法,例如 ,序偶對的前者是論域中的元素,後者是該元素對應的隸屬度。
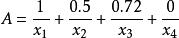
(4)向量法,在有限論域的場合,給論域中元素規定一個表達的順序,那么可以將上述序偶法簡寫為隸屬度的向量式,如 A= (1,0.5,0.72,0) 。
模糊度
一個模糊集 A的模糊度衡量、反映了 A的模糊程度,一個直觀的定義是這樣的:
設映射 D: F( U) → [0,1] 滿足下述5條性質:
清晰性:D(A) = 0 若且唯若A∈P(U)。(經典集的模糊度恆為0。)
模糊性:D(A) = 1 若且唯若 ∀u∈U有A(u) = 0.5。(隸屬度都為0.5的模糊集最模糊。)
單調性:∀u∈U,若A(u) ≤B(u) ≤ 0.5,或者A(u) ≥B(u) ≥ 0.5,則D(A) ≤D(B)。
對稱性:∀A∈F(U),有D(A) =D(A)。(補集的模糊度相等。)
可加性:D(A∪B) +D(A∩B)=D(A) +D(B)。
1.清晰性:D(A) = 0 若且唯若A∈P(U)。(經典集的模糊度恆為0。)
2.模糊性:D(A) = 1 若且唯若 ∀u∈U有A(u) = 0.5。(隸屬度都為0.5的模糊集最模糊。)
3.單調性:∀u∈U,若A(u) ≤B(u) ≤ 0.5,或者A(u) ≥B(u) ≥ 0.5,則D(A) ≤D(B)。
4.對稱性:∀A∈F(U),有D(A) =D(A)。(補集的模糊度相等。)
5.可加性:D(A∪B) +D(A∩B)=D(A) +D(B)。
則稱 D是定義在 F( U) 上的 模糊度函式,而 D( A) 為模糊集 A的 模糊度。
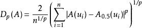
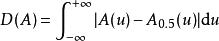
模糊集合可以證明符合上述定義的模糊度是存在的,一個常用的公式(分別針對有限和無限論域)就是
模糊集合其中 p> 0 是參數,稱為 Minkowski 模糊度。特別地,當 p= 1 的時候稱為 Hamming 模糊度或 Kaufmann 模糊指標,當 p= 2 的時候稱為 Euclid 模糊度。
模糊集的運算
各種運算元
•Zadeh 運算元,max 即為並,min 即為交
模糊集合
模糊集合•代數運算元(機率和、代數積)
模糊集合
模糊集合•有界運算元
模糊集合•Einstein 運算元
模糊集合
