定義
模糊自適應PID控制
模糊自適應PID控制
模糊自適應PID控制
模糊自適應PID控制PID控制有著原理簡單,使用方便,適應性強的特點,同時具有制時精度低、抗干擾能力差等缺點,模糊自適應PID控制是在PID算法的基礎上,以誤差 和誤差變化率 作為輸入,利用模糊規則進行模糊推理,查詢模糊矩陣表進行參數調整,來滿足不同時刻的 和 對PID參數自整定的要求。
結構
模糊自適應PID控制
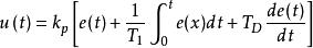
模糊自適應PID控制PID控制是一種線性控制,它根據該定值 與實際輸出值 構成控制偏差
模糊自適應PID控制連續情況
模糊自適應PID控制離散情況
模糊自適應PID控制
模糊自適應PID控制
模糊自適應PID控制
模糊自適應PID控制
模糊自適應PID控制
模糊自適應PID控制模糊自適應PID控制,以誤差 和誤差變 作為輸入,可以滿足不同時刻 和 對PID參數自整定的需求。利用模糊規則對PID參數進行修改,便是模糊自適應PID控制的結構。
規則
模糊自適應PID控制從系統的穩定性、回響速度、超調量和穩態精度等各方面來考慮, 的作用如下:
模糊自適應PID控制
模糊自適應PID控制
模糊自適應PID控制比例係數的作用是加快系統的回響速度,消除誤差,提高系統的調節精度。 越大,系統的回響速度越快,系統的調節精度越高,但易產生超調,甚至會導致系統不穩定。 取值過小,則會降低調節精度,使回響速度緩慢,從而延長調節時間,使系統靜態、動態特性變壞。
模糊自適應PID控制
模糊自適應PID控制
模糊自適應PID控制
模糊自適應PID控制的作用是消除系統的穩態誤差。 越大,系統的靜態誤差消除越快,但 過大,在回響過程的初期會產生積分飽和現象,從而引起回響過程的較大超調。若 過小,將使系統靜態誤差難以消除,從而影響系統的調節精度。
模糊自適應PID控制
模糊自適應PID控制微分作用係數 的作用是改善系統的動態特性,其作用主要是在回響過程中抑制偏差向任何方向的變化,對偏差變化進行提前預報。但 過大,會使回響過程提前制動,從而延長調節時間,而且會降低系統的抗干擾性能。所以PID參數的整定必須考慮到在不同時刻三個參數的作用以及相互之間的互聯關係。
一般來說:
模糊自適應PID控制
模糊自適應PID控制
模糊自適應PID控制
模糊自適應PID控制(1)當 較大時,為使系統具有較好的跟蹤性能,應取較大的K 與較小的 ,同時為避免系統回響出現較大的超調,應對積分作用加以限制,通常取 。
模糊自適應PID控制
模糊自適應PID控制
模糊自適應PID控制
模糊自適應PID控制(2)當 處於中等大小時,為使系統回響具有較小的超調, 應取得小些。在這種情況下, 的取值對系統回響的影響較大, 的取值要適當。
模糊自適應PID控制
模糊自適應PID控制
模糊自適應PID控制
模糊自適應PID控制
模糊自適應PID控制
模糊自適應PID控制(3)當 較小時,為使系統具有較好的穩定性能,Kp與 均應取得大些,同時為避免系統在設定值附近出現振盪, 值的選擇根據 值較大時, 取較小值,通常 為中等大小。
另外主要還得根據系統本身的特性來制定規則 。
函式確定
模糊自適應PID控制
模糊自適應PID控制
模糊自適應PID控制
模糊自適應PID控制
模糊自適應PID控制
模糊自適應PID控制
模糊自適應PID控制
模糊自適應PID控制
模糊自適應PID控制用於參數調整的模糊控制器採用二輸入三輸出的形式,該控制器是以誤差和誤差變化率作為輸入,PID控制器的三個參數P、I、D的修正 作為輸出。取輸入誤差和誤差變化率及輸出 模糊子集為{ },子集中元素分別代表負大,負中,負小,零,正小,正中,正大。誤差和誤差變化率的論域為[-3,3],量化等級為{-3,-2,-1,0,1,2,3}.
根據各模糊子集的隸屬度賦值表和各參數模糊控制模型,套用模糊合成推理設計分數階PID參數的模糊矩陣表,算出參數代入下列公式計算:
模糊自適應PID控制
模糊自適應PID控制
模糊自適應PID控制
模糊自適應PID控制
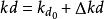
模糊自適應PID控制式中: 為PID參數的初始設計值,由常規的PID控制器的參數整定方法設計。 為模糊控制器的3個輸出,可根據被控對象的狀態自動調整PID三個控制參數的取值。
舉例
模糊自適應PID控制
模糊自適應PID控制
模糊自適應PID控制
模糊自適應PID控制
模糊自適應PID控制
模糊自適應PID控制
模糊自適應PID控制
模糊自適應PID控制
模糊自適應PID控制
模糊自適應PID控制
模糊自適應PID控制
模糊自適應PID控制
模糊自適應PID控制首先利用FIS圖形視窗創建1個兩輸入()和三輸出( 、 、 )的Mamdani推理的模糊控制器,設輸入()的論域值均為(-6,6),輸出( )的模糊論語為(-3,3),取相應論域上的語言值為負大()、負中()、負小()、零()、正小()、正中()和正大(),而令所有輸入、輸出變數的隸屬度函式均為trinf。然後構建模糊自適應PID控制系統的仿真模型,得出仿真結果。
一般來說,根據仿真結果可以得出,在對三階線性系統的控制中,利用穩定邊界法進行參數整定的經典PID控制的超調量比模糊自適應PID控制的超調量要大,但模糊PID控制存在一定的穩態誤差。模糊控制用模糊集合和模糊概念描述過程系統的動態特性,根據模糊集和模糊邏輯來做出控制決策,它在解決複雜控制問題方面有很大的潛力,可以動態地適應外界環境的變化。

