定義
模糊事件設( ,F,P)是機率測度空間,如果
模糊事件
模糊事件則稱A是 上的Fuzzy事件(fuzzy event)。
其等價定義如下:
模糊事件設 是機率測度空間,H是F上的集合套,即
模糊事件令
模糊事件
模糊事件
模糊事件
模糊事件H是F上的集合套,則稱 為F生成的模糊 -代數, 稱為模糊事件。
模糊機率測度
模糊事件
模糊事件
模糊事件
模糊事件設 是機率測度空間, 是F生成的模糊 -代數, ,令
模糊事件
模糊事件
模糊事件
模糊事件
模糊事件
模糊事件
模糊事件
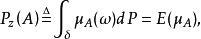
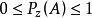
模糊事件如果 是勒貝格可測的,則稱 是模糊事件A的機率(probability of a event A), 稱為模糊 -代數 上的模糊機率測度(Fuzzy probability measure),稱 為 生成的模糊機率空間,即模糊事件的機率測度空間。
模糊事件
模糊事件的下標Z表示 是Zadeh意義下的模糊機率測度。
模糊事件
模糊事件如果 是可測集,則若記 ,則離散型模糊事件的機率為:
模糊事件定理
模糊事件設 是模糊事件,則有:
模糊事件
模糊事件(1) ,且
模糊事件(2)
模糊事件(3)
模糊事件(4)
模糊事件(5)
