圖2 機翼的幾何相似
圖 3 速度場相似理論基礎——相似理論
相似現象的同一物理量之比,稱為相似係數,或稱相似比例。所有相似係數之間,存在著某種關係式,稱為相似指標。與此對應,相似現象各物理量之間,也存在某種關係式,稱為相似判據。
模型設計和獲得相似量必須遵循的法則有三條:
A. 相似第一定理
相似現象用相同的方程式描述。彼此相似的現象,其相似指標等於1,其相似判據的數值相等。
B. 相似第二定理
描述一個現象各物理量之間的關係式,都可以寫成相似判據方程式。
C. 相似第三定理
單值條件相似,且從它導出的相似判據的數值相等,是現象彼此相似的充分和必要條件。單值條件包栝:幾何條件、初始條件、邊界條件以及對所研究的現象有重大影響的物理條件等。對於常溫靜態彈性應力分析問題,主要考慮的是幾何條件、載荷條件、約束條件和泊松比條件。而對運動學和動力學的問題,則還要考慮初始條件和時間條件等。在複雜的模型實驗中,要求單值條件完全相似是有困難的,但應儘量保持相似。
確定相似判據的方法
相似判據是根據相似理論確定的,有下述兩種方法:
A. 方程式分析法
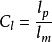
適用於已有數學方程描述的現象,以常溫靜態實驗應力分析為例,按彈性力學,原型的靜力平衡方程為:
模型理論,(1)
模型理論
模型理論
模型理論
模型理論
模型理論
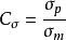
模型理論式中為 正應力; 為剪應力; 為密度;x、y、z為坐標。令 、 和 分別為應力相似係數、幾何尺寸相似係數和密度相似系統, l為幾何量(長度等),腳標 p和 m分別代表原型和模型。因模型和原型相似,故依相似第一定理,其相似指標和相似判據分別為:
模型理論
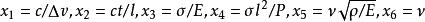
模型理論(2)和 (3)
式(3)同時適用於原型和模型。這裡π是不變數。根據這些公式,可以得到在體積力作用下的應力轉換關係:
模型理論(4)
模型理論採用光彈性法時,常以離心力場代替重力場來模擬模型的自重作用。若模型受到的離心力為 ,w為轉速,r為旋轉半徑,則式(4)中的被( g為重力加速度)代換後,得到:
模型理論(5)
模型理論為離心機的徑向加速度。
模型理論若不考慮體積力,則 為任意常數。相似指標為任意常數的情況,稱為自然模型化。在不考慮體積力的實驗應力分析模型中,只要模型和原型保持幾何相擬、載荷相似、約束條件相似和泊松比相等,則兩者的應力情況相似。
用同樣的方法分析本問題的邊界條件方程,可得出在分布載荷p作用下的應力轉換關係:
模型理論。(6)
模型理論對於集中載荷,外力 ,故有:
模型理論。(7)
模型理論對於二維問題,因為沿板厚 的應力均勻分布,所以平面尺寸l和厚度可選取不同的相似係數,這時式(7)變為:
模型理論(8)
以上是分析彈性力學小位移基本方程得到的應力轉換關係。
B. 量綱分析法
這是一種廣泛套用的方法,對於那些還沒有數學方程的問題尤為重要。仍以常溫靜態應力分析問題為例:
模型理論
模型理論
模型理論
模型理論
模型理論
模型理論
模型理論
模型理論
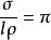
模型理論在此情況下,應力和l、 P 、E(彈性模量)、(泊松比)、 p等有關。設 為結構中的某長度,則其他長度分別 , …, 為有關的倍數。若某外力為P,則其他外力為為相應的倍數。更以表示外力作用方向,則得:
模型理論選用 E、l 為基本單位,並用無量綱數表示,得:
模型理論然而相似現象的相似判據的數值相同,即
模型理論
模型理論故可用量綱公式確定各指數。以 為例:
模型理論比較兩邊同類因子的指數,得到:
模型理論
模型理論和
模型理論
模型理論聯立解得 , ,。故有:
模型理論同樣可得:
模型理論
模型理論和 ,
模型理論而
模型理論若選 E和 作為基本單位,它們都等於1,則式(10)可寫為:
模型理論這就是常溫靜態彈性結構應力分析問題中各物理量之間的關係式,它是相似判據方程的雛形,對於沒有方程式的物理現象,只要從這種雛形出發,就不難用模型實驗法找出其函式關係來。
按上述的相似判據,還可得到應力的轉換關係。對於不考慮 ρ的影響的模型實驗,在保證幾何相似、載荷相似、約束條件相似和的前提下,依據相似理論,對於相似現象,和應同時適用於模型和原型,則得:
模型理論(12)
和
模型理論(13)
由上兩式得:
模型理論(14)
式(14)和用方程式分析法得到的式(7)一樣。但是,在推導式(14)時,未限制變形的大小,故式(14)也適用於非線性彈性問題,只是必須同時滿足式(13)。這就是說,在選定模型材料和幾何相似係數後,載荷相似係數就不能任意逸擇。上述的小變形問題,屬於線性問題,可用疊加原理,因為這時應力、變形都和載荷成正比,故套用式(14)時不受式(13)的限制,從而在進行模型實驗時,彈性模量、幾何和載荷相似係數都可以任意選取。但要保證或近似保證,否則將在不同程度上破壞三維應力的相似。
結構變態模型
對於諸如工字型、箱形等空間薄壁結構,如果主要是處於平面應力狀態,則在設計和製造模型時,只須保證模型和原型的平面幾何形狀相似,而厚度可以改變。最簡單的情況是將薄壁截面簡化為任意厚度的矩形截面。這時,應力轉換關係可按不同載荷形式和相應的截面幾何特性來確定。對於軸向拉、壓和平面彎曲,其關係式分別為:
模型理論(15)
和
模型理論(16)
式中 A為橫截面的面積; P為軸向力; M為彎矩; I為截面的形心主慣性矩。
在一定條件下,把幾何相似條件放鬆,將三維的薄壁截面構件簡化為二維的矩形截面構件,而僅保持平面幾何相似的模型,稱為結構變態模型。用這種模型可以避免模型製造的困難,也擴大了模型理論和模型實驗的套用範圍。
動態載荷相似判據
模型理論
模型理論結構受動態載荷作用時,可以按模型理論求得相應物理量的轉換關係。例如衝擊問題,參與的物理量有物體的應力波的傳播速度 c、時間 t 以及物體碰撞時的速度變化 等。和處理靜態載荷的方法相似,可得:
模型理論若模型材料已選定,根據這些相似判據,就可得到碰撞速度、應力波傳播速度、撞擊力、時間以及應力的轉換關係。
中國在設計大連新港輸油棧橋時就曾運用模型理論對結構進行應力分析。

