定義
柱面坐標
柱面坐標
柱面坐標
柱面坐標
柱面坐標
柱面坐標
柱面坐標
柱面坐標
柱面坐標
柱面坐標
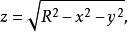
柱面坐標在空間直角坐標系中,任給一點P,設 是點 在 面上投影點的極坐標, 是點 的豎坐標,則稱 是點 的 柱面坐標(見圖1),記為 ,其中 (或 ), 。
圖1求曲面的柱面坐標方程的方法
柱面坐標
柱面坐標
柱面坐標求曲面的柱面坐標方程的方法與步驟,和求直角坐標方程類似,就是把曲面看作適合某種條件的點的集合或軌跡,將已知條件用曲面上點的柱面坐標 和 的關係式表示出來,就得到曲面的柱面坐標方程 。
柱坐標的坐標面
柱面坐標
柱面坐標
柱面坐標
柱面坐標
柱面坐標
柱面坐標
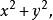
柱面坐標特別地,方程 表示以 為軸的圓柱面; 表示過 軸的半平面; 表示垂直於 軸的平面,這三組面兩兩垂直,稱為 柱面坐標的坐標面,坐標面的交線稱為 坐標線。從圖2可知,空間每一點P總可看作位於某一母線平行於z軸的圓柱面上,並有三條坐標線(過P垂直於z軸的射線、平行於z軸的直線和圓心在z軸且與z軸垂直的圓周)通過,所以把 稱為點P的柱面坐標由此而來。
圖2
柱面坐標當(常數)時,坐標面為柱面;
柱面坐標當(常數)時,坐標面為平面;
柱面坐標當(常數)時,坐標面為半平面(見圖3).
圖3柱面坐標變換
柱面坐標
柱面坐標空間中的任意點P的位置由3個參數 給出,其意義如圖2所示, 稱為柱面坐標。
從其與空間直角坐標系的關係得變換如下,此變換稱為 柱坐標變換。
柱面坐標
柱面坐標其中
柱坐標的體積微元
柱坐標的體積微元由6個坐標面圍成。
柱面坐標(1)半平面
柱面坐標(2)圓柱面
柱面坐標(3)平面
柱面坐標
柱面坐標由於 所以 見圖(4)。
圖4柱坐標的換元公式
柱面坐標如果 在V上連續,在變換
柱面坐標其中
柱面坐標
柱面坐標下,有則
柱面坐標值得注意的是,當r=0時,上面的公式亦成立.
柱面坐標在計算中,通常找出V在的投影區域D,即
柱面坐標
柱面坐標從而得,然後在二重積分中利用極坐標變換即可.
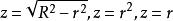
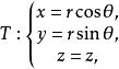
化曲面的普通方程化為柱面坐標方程
柱面坐標
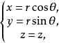
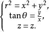
柱面坐標設P點的柱面坐標為,點 滿足
柱面坐標
柱面坐標或
利用上述公式,可以化曲面的普通方程化為柱面坐標方程:
柱面坐標
柱面坐標一般來說,如果一個曲面以z軸為對稱軸,並且普通方程中含有 那么使用柱面坐標方程表示該曲面,可能會更簡單。
柱面坐標
柱面坐標
柱面坐標
柱面坐標
柱面坐標
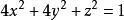
柱面坐標例如,半球面旋轉拋物面 錐面 化為柱坐標方程分別為 。而橢球面 的柱面方程為 。

