柱面坐標系
柱面坐標變換
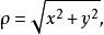
柱面坐標變換定義. 設P是中一點,在柱面坐標系中P的三個坐標變數是,其定義為
•徑向距離ρ是從z軸到點P的歐幾里得距離。
•方位角φ是所選平面上參照方向和從原點到平面上的P投影之間的直線之間的夾角。
•高度z是從所選平面到點P的有符號距離。
見圖1。
圖1
柱面坐標變換
柱面坐標變換
柱面坐標變換
柱面坐標變換與極坐標類似, 柱坐標相同的同一點具有無限多個等效坐標, 即和,其中是任意整數。此外, 如果半徑為零,則方位角規定是任意的。
在某些情況下,需要為每個點設定唯一的坐標的情況下,可以將半徑限制為非負( ρ≥ 0) 和方位φ ,使其位於特定的間隔跨度,,如(−180°、+ 180 °) 或 [0,360°]
柱面坐標變換
柱面坐標變換
柱面坐標變換柱面坐標系是三大常用的坐標系之一,其它二個常用的坐標系是標準的歐氏坐標系、球坐標系。柱面坐標變換公式描述了空間中一點P在柱面坐標系下的坐標與歐氏坐標系下的坐標之間的變換關係。該變換關係如下述公式給出 :
柱面坐標變換
柱面坐標變換
柱面坐標變換或者,將表達成的形式:
柱面坐標變換
柱面坐標變換體積元
在許多套用中,柱面坐標系具有其它坐標系不具有的優點。了解在柱面坐標系的面積元,體積元是對我們有幫助的。
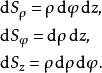
長度元:
柱面坐標變換面積元:
柱面坐標變換體積元:
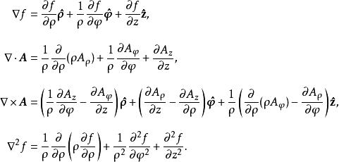
柱面坐標變換梯度、散度、旋度以及Laplace運算元在柱面坐標系下的由下述公式給出 :
柱面坐標變換