定義
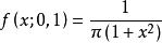
柯西分布也叫作柯西一洛倫茲分布,它是以奧古斯丁-路易-柯西與亨德里克-洛倫茲名字命名的連續機率分布,如圖所示。其機率密度函式為
柯西分布
柯西分布
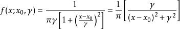
柯西分布式中: 為定義分布峰值位置的位置參數; 為最大值一半處的一半寬度的尺度參數。
柯西分布
柯西分布
柯西分布作為機率分布,通常稱為柯西分布,物理學家也將之稱為洛倫茲分布或者 Breit-Wigner分布。在物理學中的重要性很大以部分歸因於它是描述受迫共振的微分方程的解。在光譜學中,它描述了被共振或者其他機制加寬的譜線形狀。記隨機變數 服從柯西分布為 。 的特例稱為標準柯西分布,其機率密度函式為
柯西分布其對應的累積分布函式為
柯西分布
柯西分布機率密度柯西分布的特點
柯西分布具有如下特點:
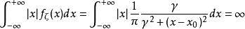
柯西分布(1)數學期望不存在,即
柯西分布
柯西分布(2)方差不存在。
(3)高階矩均不存在。
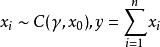
(4)柯西分布具有可加性,即
柯西分布
柯西分布
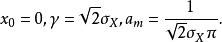
柯西分布設獨立同分布,且,則.
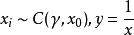
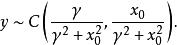
(5)柯兩分布具有倒數性質,即:
柯西分布
柯西分布設,則
(6)柯西分布與常態分配:
柯西分布
柯西分布
柯西分布設獨立,且都服從,則
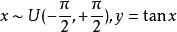
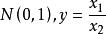
(7)柯西分布與均勻分布:
柯西分布
柯西分布設,則
柯西分布(8)柯西分布與分布:
柯西分布
柯西分布
柯西分布設服從標準柯西分布即時,則正好是自由度為1的分布。
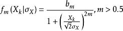
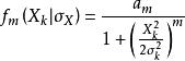
柯西分布而對於實隨機變數,如果其機率密度函式為
柯西分布
柯西分布
柯西分布
柯西分布則定義服從參數為的廣義柯西分布。參數是大於0.5的實數,是歸一化常數。
廣義柯西分布的性質
可以證明廣義柯西分布具有以下性質:
柯西分布(1)廣義柯西分布不存在一階矩;當時,廣義柯西分布不存在二階矩。
柯西分布(2)當m=1時,廣義柯西分布即是常規定義下的柯西分布。對比柯西分布可知,
(3)廣義柯西分布不同於下列分布,即
柯西分布但當m為整數時兩者相等。
(4)在所有的分布中,廣義柯西分布具有最大的散布特性。即J1‘義柯兩分布具有最大的拖尾機率。

