定義
柯爾莫哥洛夫定理是關於L [a,b]的子集為列緊集的特徵的定理。
充要條件
L [a,b](p≥1)中集A為列緊集的充分必要條件如下:
柯爾莫哥洛夫定理1、存在常數M,使對任意f(x)∈A,有
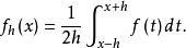
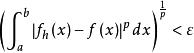
柯爾莫哥洛夫定理2.對任意ε>0,存在δ>0,只要0<h<δ,對任意f(x)∈A,都有,這裡
柯爾莫哥洛夫定理列緊集
列緊集是度量空間中的一類子集,設A是度量空間X中的無窮集,如果A中的任一無窮子集必有一個收斂的點列,就稱A是X中的列緊集;如果X本身是列緊集,就稱X是列緊距離空間,簡稱為列緊空間。
列緊集是有界的。需要注意的是,一般度量空間與歐氏空間不同,有界閉集一定列緊。
