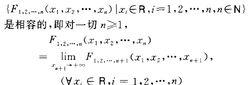
柯爾莫哥洛夫相容性定理(Kolmogorov consis-tency theorem)在無窮維空間上構造機率測度的定理.如果一個機率分布函式族
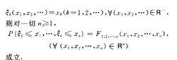
柯爾莫哥洛夫相容性定理成立,則在(R 0" , },x})上存在機率測度P,使得在(R`0,,一,屍)上坐標隨機變數寧:,李2,…,寧。的分布函式與Fi.2,… ,.,相同.即若
柯爾莫哥洛夫相容性定理柯爾莫哥洛夫相容性定理(Kolmogorov consis-tency theorem)在無窮維空間上構造機率測度的定理.如果一個機率分布函式族
柯爾莫哥洛夫相容性定理成立,則在(R 0" , },x})上存在機率測度P,使得在(R`0,,一,屍)上坐標隨機變數寧:,李2,…,寧。的分布函式與Fi.2,… ,.,相同.即若
柯爾莫哥洛夫相容性定理德雷·柯爾莫哥洛夫(俄語:Андре́й Никола́евич Колмого́ров,1903年4月25日-1987年10月20日),俄國數學家,...
生平簡介 主要貢獻德雷·柯爾莫哥洛夫(俄語:Андре́й Никола́евич Колмого́ров,1903年4月25日-1987年10月20日),俄國數學家,...
生平簡介 主要貢獻德羅夫,柯爾莫戈羅夫,蓋爾范德,沙法列維奇,阿洛爾德,諾維可夫,李雅普洛夫,菲赫金哥爾茨,科瓦列夫斯卡婭等都是響噹噹的數學大師。而這些優秀數學家...簡介十九世紀下半葉,康托爾創立了著名的集合論,在集合論剛產生時,曾遭到...
簡介 邏輯主義 形式主義 直覺主義 三大數學流派簡介的公理化方法推演出全部物理,首先是機率和力學。1933年,蘇聯數學家柯爾莫哥...數學貢獻1862年 Hilbert 生於 哥尼斯堡(K...前沿陣地,從而把他的思想深深地滲透進了整個現代數學。希爾伯特是哥廷根數學...
數學貢獻 23個問題全部物理,首先是機率和力學。1933年,蘇聯數學家柯爾莫哥洛夫實現了將...解決。算術公理的相容性(未解決,最好成績1936年德國人根茨)歐幾里得幾何的相容性可歸結為算術公理的相容性。希爾伯特曾提出用形式主義計畫的證明論...
概念 榮譽 問題解決情況 影響表附表4 F分布臨界值表附表5柯爾莫哥洛夫檢驗的臨界值表參考文獻名詞索引...極限定理,隨機過程,統計學中的基本概念,估計,假設檢驗,回歸分析,統計...分布和條件期望§3.8 補充知識習題三第四章 機率極限定理§4.1 隨機...
北京大學出版社2007年版 華中科技大學出版社2009年第二版表附表4 F分布臨界值表附表5柯爾莫哥洛夫檢驗的臨界值表參考文獻名詞索引...極限定理,隨機過程,統計學中的基本概念,估計,假設檢驗,回歸分析,統計...分布和條件期望§3.8 補充知識習題三第四章 機率極限定理§4.1 隨機...
北京大學出版社2007年版 華中科技大學出版社2009年第二版。至於希爾伯特問題中提到的機率論公理化,已由Α.Η.柯爾莫哥洛夫(1933...不可能在策梅洛-弗倫克爾公理系統內判明。 ② 算術公理的相容性 1931年,K.哥德爾的“不完備定理”指出了用希爾伯特“元數學”證明算術公理...
正文 配圖 相關連線在西南聯合大學時期曾開課講授勒貝格(Lebesgue)積分、中心極限定理...
人物簡介 個人簡歷 人物生平 研究成果 主要論著