
概述
在物理學中,柯尼希定理(Konig's theorem)是質點系運動學中的一個基本定理。
在圖論中,柯尼希定理是一個關於偶圖匹配與點覆蓋關係的一個定理。
其文字表述是:質點系的總動能等於全部質量集中在質心時質心的動能,加上各質點相對於質心平動坐標系運動所具有的動能。
數學表述
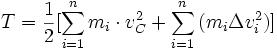
T = 1/2 (∑Mi) * Vc^2 + 1/2 ∑(Mi * Vi^2) //小寫字母為下標,如Mi中,i為M的下標
式中:T為質點系的總動能,Mi為質點系各質點(編號為i的質點)的質量,Vc為質心速度,Vi為各質點相對質心的速度。
柯尼希定理表明,質點組的動能,等於假想質心所具有的動能和各個質點對質心動能之和
附:推導
Ek=Σ1/2 MIVi^2
=Σ1/2 Mi(V相對+Vc)^2
=Σ1/2MiVc^2+ΣMiVcV相對+Σ1/2MiV相對^2
=Σ1/2MiVc^2+VcΣ(MiV相對)+Σ1/2MiV相對^2
由於C為質心,Σ(MiV相對)=0,故得證
上面的Vi、V相對、Vc均為矢量。
![柯尼希定理[力學的柯尼希定理] 柯尼希定理[力學的柯尼希定理]](/img/c/3f2/nBnauM3X4YjNxYTMxkTO4UzN5QTM0MjM4QDM0QTNwAzMwIzL5kzLwAzLt92YucmbvRWdo5Cd0FmLzE2LvoDc0RHa.jpg)
