簡介
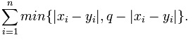
在編碼理論里, "李"距離是評價兩個長度為n,q進制的字元串x1x2...xn和y1y2...yn之間的距離。
q≥2時,它在國際單位制中定義為右圖。

由李距離所長產生的度量空間是一個類似於離散的橢圓幾何。
例子
假設q = 6, 字元串3340和2543之間的李距離是1+2+0+3=6.
歷史和套用
李距離(Lee distance)命名自數學家Lee. 它被運用於相位調製, 而漢明距離被用作正交調製.
在信道編碼中,李距離也常常用在衡量非二元碼(多元碼)的距離特性。

李距離,幾何術語,是由李距離所長產生的度量空間是一個類似於離散的橢圓幾何,它被運用於相位調製。
在編碼理論里, "李"距離是評價兩個長度為n,q進制的字元串x1x2...xn和y1y2...yn之間的距離。
q≥2時,它在國際單位制中定義為右圖。

假設q = 6, 字元串3340和2543之間的李距離是1+2+0+3=6.
李距離(Lee distance)命名自數學家Lee. 它被運用於相位調製, 而漢明距離被用作正交調製.
在信道編碼中,李距離也常常用在衡量非二元碼(多元碼)的距離特性。
距離是由出發點到終止點所形成的直線,叫距離。距離是一種標量,不具方向,僅含量。這種量不會是負數。在物理學上,距離是由某些媒介如人、動物和交通工具所經過的...
摘要 解釋《距離》是李若惜作詞,翁喆作曲,李若惜演唱,發行於2013年的一首歌曲。
歌詞信息 相關新聞《分手的距離》是華語全能創作R&B歌手李魏西於2012年02月24日發行的同名EP,創作與唱功俱佳的李魏西再度包攬新EP的詞曲及製作。整張EP共收錄兩首...
專輯信息 專輯曲目 專輯鑑賞 同名主打 MV信息距離是由出發點到終止點所形成的直線,叫距離。距離是一種標量,不具方向,僅含量。這種量不會是負數。在物理學上,距離是由某些媒介如人、動物和交通工具所經過的...
摘要 解釋《ZERO·距離》,2010年快樂男聲13強(快樂天團8090、李煒、陳翔、劉心、趙帆、李行亮、Delay組合、譚傑希、王野、武藝、吳俊余、張建波、玉米...
看點 內容簡介 作者簡介 媒體報導《分手的距離》是由劉家澤填詞,李魏西作曲、演唱的歌曲。收錄在2012年發行的同名EP專輯《分手的距離》中。
創作背景 歌曲歌詞 歌曲鑑賞 歌曲mv《分手的距離》是李魏西於2012年02月24日發行的個人專輯。該專輯共收錄有2首歌曲,均為李魏西原創。李魏西擔任音樂製作人。
專輯曲目 專輯鑑賞《最遙遠的距離》是一部由林靖傑導演和編劇,桂綸鎂、莫子儀、賈孝國主演的愛情片。 影片講述現代人逃離水泥叢林、重新尋找自我的過程 。本片於2007年6月2...
劇情簡介 演職員表 角色介紹 音樂原聲 幕後花絮