曲線坐標系
設(y ,y ,y )為歐氏空間 R 中Descartes坐標系,Ω為 R 中的某一連通區域,Ω上給出三個連續可微、單值函式
x =f (y ,y ,y ),i=1,2,3,
如果可逆,有
y =g (x ,x ,x ),i=1,2,3。
此即,Ω上的變數(x )和Descartes坐標系(y )之間,由可逆、雙方單值、連續可微的變換聯繫著,則這樣的(x )稱為Ω上的曲線坐標系。
在曲線坐標系中,指標有上下之分,帶上標的量為逆變數,帶下標的量為協變數,既有上標又有下標的為混合變數。
坐標變數{x ,x ,x }為逆變數,一般記為{x }。
曲線坐標可用矩陣表示如下:
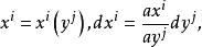
曲線坐標形如 x=Ay,若︳ A︳≠0,則存在逆變換 y=Ax。同樣地,若
曲線坐標
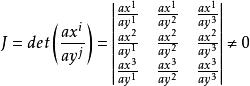
曲線坐標則x =x (y )存在逆變換:y =y (x ),其中J稱為雅可比(Jacobi)行列式。實際上逆變換存在還需要一個條件:J≠0。當時,x =x (y )是線性函式,(y )是斜角坐標系。
空間曲線坐標系,由空間曲面組(坐標曲面)的交線確定。如圖1,三維情況:y =const.確定一曲面,稱為y 曲面;y =const.,y =const.分別為y ,y 曲面。在y 曲面和y 曲面的交線上,只有y 變化,這條交線稱為y 坐標曲線。同樣,可得y 坐標曲線和y 坐標曲線。
圖1球面坐標系(y ,y ,y ):
曲線坐標如圖2,坐標面分別為
y =const.:球面,
y =const.:半平面,
y =const.:錐面。
圖2曲線坐標計算程式功能
1、本軟體可計算圓曲線帶有緩和曲線中、邊樁坐標及切線方位角,若只需計算圓曲線則緩和曲線輸入0即可。
2、附有正算、反算功能,正算:通過里程和偏距計算坐標,反算:通過坐標反推里程和偏距。
3、數據輸入:曲線轉角α和計算方位角F按 d.ms 格式輸入,如:-14°18ˊ10″則為:-14.1810,選擇“連續計算”時偏距和偏角同單點計算一致。
4、具有數據導入、導出功能,可把已知數據輸入在文本文檔中進行導入,導出則是把已經輸入好的數據導出到指定位置。
5、數據處理完畢後點擊“保存數據”可進行保存曲線五大樁、曲線參數表,連續計算模式“保存數據”可導出計算成果。

