作用機制
一、曲可伸治療瘢痕疙瘩及增生性瘢痕的作用機制
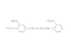
曲可伸分子式2、曲尼司特抑制瘢痕疙瘩中成纖維細胞的膠原合成
3、曲尼司特通過金屬蛋白酶(MMP)和金屬蛋白酶抑制劑(TIMP))的抑制作用來抑制瘢痕疙瘩的形成
二、曲可伸治療支氣管哮喘及過敏性鼻炎的作用機制
曲尼司特與其他抗過敏藥物的不同之處在於,曲尼司特抑制過敏反應為對因治療,可以有效地防治過敏反應的發生與發展。和抗組胺藥、糖皮質激素相比副作用小,抗過敏反應療效顯著。
1、TNL能抑制肥大細胞和嗜鹼性粒細胞的磷酸二脂酶,使細胞內環磷酸腺苷的水平升高,進入細胞的游離鈣減少,穩定細胞膜,防止其細胞脫顆粒和釋放組胺等化學介質。
表1兩組病人綜合臨床有效率的比較臨床試驗
藥物臨床數據:
曲可伸增生性瘢痕及肥厚性瘢痕的臨床驗證報告:
臨床驗證單位:中國醫學科學皮膚病研究所、第二軍醫大學上海長海醫院、四川大學華西醫院、日本長崎大學為代表的日本全國67所大學或醫院
病例總數:419例
權威臨床研究證明:曲尼司特膠囊可以明顯改善瘢痕疙瘩及增生性瘢痕患者瘙癢、疼痛等自覺和他覺症狀,總體有效率54%表1兩組病人綜合臨床有效率的比較
表2兩組病人用藥後症狀改善程度的比較
表2兩組病人用藥後症狀改善程度的比較參考文獻:
1、Tranilast研究班《曲尼司特治療瘢痕疙瘩及增生性瘢痕的臨床評價——以外用肝素類似物軟膏作對照的雙盲研究》《西日本皮膚科雜誌》1992,54(3):554-571
2、曹元華等《曲尼司特膠囊治療特應性皮炎、瘢痕疙瘩及增生性瘢痕的多中心、隨機、雙盲、安慰劑平行對照臨床試驗》《國際皮膚性病學雜誌》2007年05期
3、《曲尼司特膠囊治療特應性皮炎、瘢痕疙瘩及增生性瘢痕的多中心、隨機、雙盲、安慰劑平行對照臨床試驗》
藥物說明
性狀
本品內容物為淡黃色顆粒,無色無味。適應症
1.用於支氣管哮喘及過敏性鼻炎的預防性治療。2.用於治療特應性皮炎。
3.用於治療瘢痕疙瘩、增生性瘢痕。
藥理毒理
曲可伸臨床試驗證明,本藥可抑制健康成年男性的人體反應素試驗(IgE)的皮膚反應,抑制由蟎抗原所致成人過敏性支氣管哮喘患者白細胞抗原誘發的組胺釋放、抑制吸入性變態反應原誘發的反應、抑制過敏性鼻炎患者鼻涕中異染色細胞抗原誘發的脫顆粒、抑制鼻誘發反應。
動物實驗表明,對大白鼠、豚鼠IgE樣抗體引發的同種被動皮膚過敏、大白鼠抗原誘發的實驗性哮喘、鼻過敏反應,口服曲尼司特均有顯著的抑制作用,對大白鼠的皮膚過敏反應,兔的局部壞死過敏反應,亦有抑制作用。
用取自豚鼠的氣管平滑肌作體外試驗證明,曲尼司特對乙醯膽鹼、組胺、血清素等沒有直接的拮抗作用,但由於能抑制肥大細胞等釋放化學介質(用大白鼠的分離腹腔細胞、腸系膜肥大細胞,豚鼠和猴的肺切片做體外試驗),而顯示出抗過敏作用。
曲尼司特能夠抑制各種來自炎症細胞的化學介質,抑制細胞因子(成纖維細胞轉化生長因子β1、TGF-β1),抑制活性氧的產生或游離,抑制瘢痕疙瘩、增生性瘢痕組織中成纖維細胞膠原的合成。另外,尚有減輕移植於先天性無胸腺小鼠的人體瘢痕疙瘩組織的重量。
毒理研究:
動物實驗可致畸胎。
藥代動力學
(1)臨床藥代動力學表明,給藥後2~3小時,血藥濃度達到峰值,半衰期為8.6小時左右,24小時明顯降低,48小時後在檢出限度之下。主要從尿中排出,體內代謝產物主要是曲尼司特的4位脫甲基與硫酸及葡萄糖醛酸的結合物。(2)用肝的微粒體及P450表達系統的微粒體,作體外試驗的結果證實,曲尼司特氧代謝反應與CYP2C9、CYP2C18、CYP2C8、CYP1A2、CYP3A4、CYP2D6有關,主要是CYP2C9參與代謝。
藥物相互作用
與抗凝血藥物華法令合用或終止合用時,可增強或減弱其作用並降低或增高血栓試驗值,故在臨床合用或終止合用時應注意觀察凝血功能的變化。不良反應
1、肝臟:偶爾出現黃疸、AST、ALT、AL-P等顯著增高等肝功能障礙或發生肝炎,需注意觀察,可採取減量、停藥並適當處理。2、腎臟:偶可出現血尿素氮(BUN)、肌酐的增高等,要仔細觀察,確認有異常時應停止使用並適當處理。
3.泌尿系統:偶見膀胱刺激症狀,如尿頻、排尿痛、血尿、殘尿感等,應停止用藥。
4、血液:可有紅細胞數和血色素量下降。白血球減少、血小板減少,嗜酸性粒細胞增多。
5、胃腸:有時發現食欲不振、噯氣、噁心、嘔吐、腹痛、腹脹、便秘、腹瀉、胃部不適。偶有胃部不消化感。
6、精神神經系統:頭痛、嗜睡,偶爾頭重、失眠、頭昏、全身倦怠感等。
7、過敏反應:皮疹,偶見全身癢等過敏症狀,此時應停藥。
8、其它:偶見心悸、浮腫、面部紅暈、鼻出血、口腔炎等症狀。
禁忌
1.孕婦忌用。2.對本藥成份過敏的患者禁用。
注意事項
1.服用本品出現膀胱刺激症狀、肝功能異常時,往往伴有外周血中嗜酸性粒細胞增多,在服用本品期間要定期檢查血液以觀察其轉歸。2.本品能阻斷過敏反應發生的環節,季節性過敏患者在服用本藥時,應在好發季節提前開始服用,直到好發季節結束。
3.本品與支氣管擴張劑、糖皮質激素、抗組胺藥等不同,不能迅速減輕急性發作及其症狀。
4.激素依賴性患者使用本品時,激素用量應慢慢減少,不可突然停用。
5.本品可與其它平喘藥並用,以本品作為基礎處方藥,有規則地服用。
6.特應性皮炎、瘢痕疙瘩、增生性瘢痕患者應長期堅持服用,兼有治療和預防作用。
7.肝、腎功能異常者慎用。

