簡介
普朗克功率等於普朗克能量除以普朗克時間。用方程表達,
普朗克功率
普朗克功率
普朗克功率
普朗克功率其中, 是普朗克功率, 是普朗克能量, 是普朗克時間。
普朗克功率
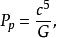
普朗克功率普朗克功率的數值大約為 瓦特。這是個很不實用的特大單位,甚至伽馬射線暴,我們所知道宇宙最明亮的現象,它的功率大小也只有大約 瓦特。而2016年2月引力波探測之黑洞融合事件,引力波輻射的峰值功率約為普朗克功率的0.1%。
用基礎物理常數來表達,普朗克功率是
普朗克功率
普朗克功率
普朗克功率其中, 是光速, 是萬有引力常數。
普朗克單位制
普朗克功率
普朗克功率
普朗克功率
普朗克功率
普朗克功率
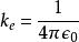
普朗克功率普朗克單位制是一種計量單位制度,由德國物理學家馬克斯·普朗克最先提出,因此命名為普朗克單位制。這種單位制是自然單位制的一個實例,經過特別設計,使得某些基礎物理常數的值能夠簡化為1,這些基礎物理常數是萬有引力常數 ,約化普朗克常數 ,在真空里的光的光速 ,庫侖常數 ,其中 是真空電容率,也就是電常數,玻爾茲曼常數 。
普朗克功率
普朗克功率
普朗克功率
普朗克功率
普朗克功率上述每一個常數都至少出現於一個基本物理理論: 在廣義相對論與牛頓的萬有引力定律、 在量子力學、 在狹義相對論、 在靜電學、 在統計力學與熱力學。實際上,以上的五個常數在許多物理定律的代數表達式中多次出現,因此引入普朗克單位制可以將這些代數表達式簡化,普朗克單位制也因此成為了理論物理學一個非常有用的工具。在統一理論方面的研究,特別如量子引力學中,普朗克單位制能夠給研究者一點大概的提示。
參閱
•量綱分析
•物理常數
•普朗克尺寸
•普朗克粒子
•普朗克紀元
•高斯單位制
