簡介
施托爾茨極限定理是給出求極限的一種方法的命題。 該定理斷言:
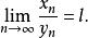
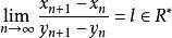
施托爾茨極限定理若,且滿足下列條件中的一個:
1、{y}嚴格增,y→+∞(或{y}嚴格減)
2、x→0,y→0,{y}嚴格減
則
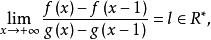
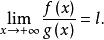
施托爾茨極限定理對函式極限的結論
施托爾茨極限定理對函式極限的類似結論如下:
施托爾茨極限定理設f:(a,+∞)→R在任意有限區間(a,b)內有界;當x→+∞時,g(x)→+∞,且g(x)嚴格單調增,若則
施托爾茨極限定理函式極限
函式極限是高等數學最基本的概念之一,導數等概念都是在函式極限的定義上完成的。
函式極限性質的合理運用。常用的函式極限的性質有函式極限的唯一性、局部有界性、保序性以及函式極限的運算法則和複合函式的極限等等。
