基本介紹
門電路有一個閾值電壓,當輸入電壓從低電平上升到閾值電壓或從高電平下降到閾值電壓時電路的狀態將發生變化。 施密特觸發器是一種特殊的門電路,與普通的門電路不同,施密特觸發器有兩個閾值電壓,分別稱為正向閾值電壓和負向閾值電壓。在輸入信號從低電平上升到高電平的過程中使電路狀態發生變化的輸入電壓稱為正向閾值電壓,在輸入信號從高電平下降到低電平的過程中使電路狀態發生變化的輸入電壓稱為負向閾值電壓。正向閾值電壓與負向閾值電壓之差稱為回差電壓。
它是一種閾值開關電路,具有突變輸入——輸出特性的門電路。這種電路被設計成阻止輸入電壓出現微小變化(低於某一閾值)而引起的輸出電壓的改變。
利用施密特觸發器狀態轉換過程中的正反饋作用,可以把邊沿變化緩慢的周期性信號變換為邊沿很陡的矩形脈衝信號。輸入的信號只要幅度大於vt+,即可在施密特觸發器的輸出端得到同等頻率的矩形脈衝信號。
當輸入電壓由低向高增加,到達V+時,輸出電壓發生突變,而輸入電壓Vi由高變低,到達V-,輸出電壓發生突變,因而出現輸出電壓變化滯後的現象,可以看出對於要求一定延遲啟動的電路,它是特別適用的.
從感測器得到的矩形脈衝經傳輸後往往發生波形畸變。當傳輸線上的電容較大時,波形的上升沿將明顯變緩;當傳輸線較長,而且接受端的阻抗與傳輸線的阻抗不匹配時,在波形的上升沿和下降沿將產生振盪現象;當其他脈衝信號通過導線間的分布電容或公共電源線疊加到矩形脈衝信號時,信號上將出現附加的噪聲。無論出現上述的那一種情況,都可以通過用施密特反相觸發器整形而得到比較理想的矩形脈衝波形。只要施密特觸發器的vt+和vt-設定得合適,均能收到滿意的整形效果。
實現
隧道二極體
施密特觸發器可以利用簡單的隧道二極體(英語:tunnel diode)實現,這種二極體的伏安特性在第一象限中是一條“N”形曲線。振盪輸入會使二極體的伏安特性從“N”形曲線的上升分支移動到另一分支,然後在輸入值超越上升和下降翻轉閾值時回到起點。不過,這類施密特觸發器的性能可以利用基於電晶體的元件來提升,因為基於電晶體的元件可以通過非常直接的利用正反饋來提升翻轉性能。
比較器
施密特觸發器常用接入正反饋的比較器來實現。對於這一電路,翻轉發生在接近地的位置,遲滯量由R1與R2的阻值控制。
比較器提取了兩個輸入之差的符號。當非反相(+)輸入的電壓高於反相(-)輸入的電壓時,比較器輸出翻轉到高工作電壓+Vs;當非反相(+)輸入的電壓低於反相(-)輸入的電壓時,比較器輸出翻轉到低工作電壓-Vs。這裡的反相(-)輸入是接地的,因此這裡的比較器實現了函式符號,,具有二態輸出的特性,只有高和低兩種狀態,當非反相(+)端連續輸入時總有相同的符號。
由於電阻網路將施密特觸發器的輸入端(即比較器的非反相(+)端)和比較器的輸出端連線起來,施密特觸發器的表現類似比較器,能在不同的時刻翻轉電平,這取決於比較器的輸出是高還是低。若輸入是絕對值很大的負輸入,輸出將為低電平;若輸入是絕對值很大的正輸入,輸出將為高電平,這就實現了非反相施密特觸發器的功能。不過對於取值處於兩個閾值之間的輸入,輸出狀態同時取決於輸入和輸出。例如,如果施密特觸發器的當前狀態是高電平,輸出會處於正電源+Vs上,。這時V+就會成為Vin和+Vs間的分壓器。在這種情況下,只有當V+=0(接地)時,比較器才會翻轉到低電平。由電流守恆,可知此時滿足下列關係:
施密特觸發器因此必須降低到低於-R1Vs/R2時,輸出才會翻轉狀態。一旦比較器的輸出翻轉到−Vs,翻轉回高電平的閾值就變成了+R1Vs/R2。這樣,電路就形成了一段圍繞原點的翻轉電壓帶,而觸發電平是±R1Vs/R2。。只有當輸入電壓上升到電壓帶的上限,輸出才會翻轉到高電平;只有當輸入電壓下降到電壓帶的下限,輸出才會翻轉回低電平。若R1為0,R2為無窮大(即開路)。電壓帶的寬度會壓縮到0,此時電路就變成一個標準比較器 。輸出特性如右圖所示。閾值
由R1Vs/R2給出,輸出
的最大值是電源軌。 實際配置的非反相施密特觸發電路如下圖所示。
施密特觸發器輸出特性曲線與上述基本配置的輸出曲線形狀相同,閾值大小也與上述配置滿足相同的關係。不同點在於上例的輸出電壓取決於供電電源,而這一電路的輸出電壓由兩個齊納二極體確定。在這一配置中,輸出電平可以通過選擇適宜的齊納二極體來改變,而輸出電平對於電源波動具有抵抗力,也就是說輸出電平提高了比較器的電源電壓抑制比(PSRR)。電阻
3用於限制通過二極體的電流,電阻
4將比較器的輸入漏電流引起的輸入失調電壓降低到最小。
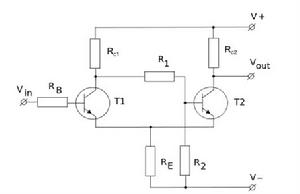
兩個電晶體
在使用正反饋配置實現的施密特觸發器中,比較器自身可以實現的大部分複雜功能都沒有使用。因此,電路可以用兩個交叉耦合的電晶體來實現(即電晶體可以用另外一種方式來實現輸入級)。基於2個電晶體的施密特觸發電路如下圖所示。通路RC1 R1 R2設定了電晶體T2的基極電壓,不過,這一分壓通路會受到電晶體T1的影響,如果T1開路,通路將會提供更高的電壓。因此,在兩個狀態間翻轉的閾值電壓取決於觸發器的現態。
施密特觸發器對於如上所示的NPN電晶體,當輸入電壓遠遠低於共射極電壓時,T1不會導通。電晶體T2的基極電壓由上述分壓電路決定。由於接入負反饋,共射極上所加的電壓必須幾乎與分壓電路上所確定的電壓幾乎一樣高,這樣就能使T2導通,並且觸發器的輸出是低電平狀態。當輸入電壓(T1基極電壓)上升到比電阻RE上的電壓(射極電壓)稍高時,T1將會導通。當T1開始導通時,T2不再導通,因為此時分壓通路提供的電壓低於T2基極電壓,而射極電壓不會降低,因為T1此時消耗通過RE的電流。此時T2不導通,觸發器過渡到高電平狀態。
此時觸發器處於高電平狀態,若輸入電壓降低得足夠多,則通過T1的電流會降低,這會降低T2的共射極電壓並提高其基極電壓。當T2開始導通時,RE上的電壓上升,然後會降低T1的基極-射極電位,T1不再導通。
在高電平狀態時,輸出電壓接近V+;但在低電平狀態時,輸出電壓仍會遠遠高於V−。因此在這種情況下,輸出電壓不夠低,無法達到邏輯低電平,這就需要在觸發器電路上附加放大器。
上述電路可以被簡化:R1可以用短路連線代替,這樣T2基極就直接連線到T1集電極,R2可以去掉並以開路代替。電路運行的關鍵是當T1接通(電流輸入基極的結果)時,通過RE的電流比T1截止時小,因為T1導通時會使T2截止,而當T2導通時,相比T1會為RE提供更大的通過電流。當流入RE的電流減小時,其上的電壓會降低,因此一旦電流開始流入T1,輸入電壓一定會降低以使T1回到截止狀態,這是因為此時T1的射極電壓已降低。這一施密特觸發緩衝器也可以變成一個施密特觸發反相器,而且在此過程中還能省去一個電阻,方法是將RK2以短接代替,並將Vout連線到T2射極而不是集電極。不過在這種情況下,RE的阻值應該更大,因為此時RE要充當輸出端的下拉電阻,作用是當輸出應該為低電平時,其會降低輸出端的電壓。若RE的阻值較小,其上只能產生一個較小的電壓,在輸出應該為數字低電平時,這一電壓實際上會提高輸出電壓。
套用
1. 波形變換
可將三角波、正弦波、周期性波等變成矩形波。
2. 脈衝波的整形
數字系統中,矩形脈衝在傳輸中經常發生波形畸變,出現上升沿和下降沿不理想的情況,可用施密特觸發器整形後,獲得較理想的矩形脈衝。
3. 脈衝鑒幅
幅度不同、不規則的脈衝信號施加到施密特觸發器的輸入端時,能選擇幅度大於預設值的脈衝信號進行輸出。
4、構成多諧振盪器
幅值不同的信號在通過加上一個合適電容的施密特觸發器後會產生矩形脈衝,矩形波脈衝信號,常用作脈衝信號源及時序電路中的 時鐘信號。
常用晶片
74LS18雙四輸入 與非門(施密特觸發)
74LS14六反相器(施密特觸發)
74132、74LS132、74S132、74F132、74HC132四2輸入與非施密特觸發器觸發器
74221、74LS221、74 HC221、74 C221雙單穩態多諧振盪器(有施密特觸發器)
用 555定時器可以構成施密特觸發器
CD4093由四個2輸入施密特觸發器組成
