斯奈爾Snell定律(又稱“折射定律”)
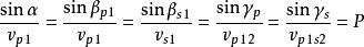
斯奈爾定律如果定義α為入射角,α’為反射角,β為透射角,sinα/v1=sinα'/v1=sinβ/v2=P式則說明入射角等於反射角,透射角的大小決定於介質W1,W2的速度v1,v2之比;而且在一個界面上對入射波、反射波和投射波來說具有相同的射線參數P。 (對於給定的射線,射線參數是一常數,在射線傳播過程中保持不變。)

同光線在非均勻介質中傳播,當彈性波遇到具有彈性性質突變的彈性分界面時,彈性波也要在此分界面上發生彈性波的反射和透射。
斯奈爾Snell定律(又稱“折射定律”)
斯奈爾定律如果定義α為入射角,α’為反射角,β為透射角,sinα/v1=sinα'/v1=sinβ/v2=P式則說明入射角等於反射角,透射角的大小決定於介質W1,W2的速度v1,v2之比;而且在一個界面上對入射波、反射波和投射波來說具有相同的射線參數P。 (對於給定的射線,射線參數是一常數,在射線傳播過程中保持不變。)
奈爾溫度,亦稱“奈耳溫度”。反鐵磁體的臨界溫度。SI單位為開爾文(K)。 奈爾溫度是反鐵磁性材料變成順磁性的溫度,即熱能變得足夠大以破壞材料內的微觀磁有...
基本原理 幾種材料的奈爾溫度古希臘著名數學家,成功證明了錐體,橢球等空間體的體積運算,並且對於地球形狀,運行軌道提出了猜想。被譽為偉大的、傑出的數學泰斗。
拉普拉斯(Laplace)定律 P=2T/r 。 P 代表肺泡回縮力,T代表表面張力,r代表肺泡半徑。肺回縮力與表面張力成正比,與肺泡的半徑成反比。
定律介紹 套用 定理 意義與作用 發展歷史瓦爾拉斯Walras,(Marie-Esprit-)Leon(1834.12.16,法國埃夫勒~1910.1.5,瑞士蒙特勒附近的克拉朗) 法裔瑞士經濟...
基本介紹 瓦爾拉斯 相關理論法國著名企業家皮爾·卡丹提出:在用人上一加一不等於二,搞不好等於零。有效搭配,方顯威力。這一定理被稱為皮爾·卡丹定理。
理論人物 定理釋義 寓言故事 經典案例 管理套用巴爾賽獎金,為義大利報界人士巴爾賽所創立。獎勵在和平、藝術、科學三個方面有傑出貢獻的人。
巴爾賽獎金 其他世界性獎金簡介 諾貝爾獎相關資料《TRINITY SEVEN 魔道書7使者》是由日本漫畫家奈央晃徳作畫、齊藤健二負責腳本的漫畫,是一部以美少女魔道士拯救世界為主題的魔法戀愛作品,於20...
劇情簡介 各卷劇情 人物簡介 用語解說 出版信息4日父親的死讓巴里感到難以承受,他返回母親遇害的那一天並從艾爾伯德·斯旺...,覆水難收,部分時間軸被永久性地改變了:西斯科因為失去了自己的哥哥...斯是喬的女兒,她和巴里一起長大,倆人的關係十分好,事實上巴里一直偷偷...
劇情簡介 分集劇情 演職員表 角色介紹 幕後花絮菲爾·奈特(PhilKnight,1938年2月24日— ),男,耐克品牌的傳奇領袖,是財富500強公司里最古怪的領導人之一。 他永遠戴著墨鏡,以超“酷...
人物生平 人物軼事