介紹
斯坦頓數是一個無量綱數,用於測量傳遞到流體中的熱量與流體的熱容量之比。斯坦頓數以托馬斯·愛德華·斯坦頓(Thomas Edward Stanton)(1865-1931)命名。它用於表征強制對流中的熱傳遞。
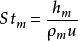
斯坦頓數h:對流傳熱係數
ρ:流體的密度
cp :流體的比熱
u :流體速度
它也可以用流體的諾瑟爾,雷諾茲和普蘭特數表示
斯坦頓數Nu:努塞爾數;
R:雷諾數;
Pr:普朗特數
考慮到動量邊界層和熱邊界層的幾何相似性,斯坦頓數的出現可用於表示壁處的剪下力(由於粘滯阻力)與總熱傳遞之間的關係 牆壁(由於熱擴散性)。
在流體的溫度和流速等條件相同時,St數愈大,發生於流體與固體壁面之間的對流換熱過程就愈強烈。
使用熱質傳遞類比,可以使用Sherwood和Schmidt分別代替努塞爾數和普朗特數,發現傳質St等效。
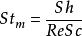
斯坦頓數
斯坦頓數St_m是質量Stanton數;
Sh是舍伍德數;
Re是雷諾數;
Sc是施密特數;
基於濃度差h
ρ是物種通量的組分密度。
邊界層流
斯坦頓數是由於從平坦表面傳熱而導致的邊界層中熱能缺陷(或過剩)變化率的有用測量。 如果焓厚度定義為,
斯坦頓數那么斯坦頓數相當於
斯坦頓數對於具有恆定表面溫度和性能的平板上的邊界層流動。
相關性
使用雷諾 - 科爾本類比用熱對數和粘性子層模型進行湍流,湍流傳熱的相關性可適用
斯坦頓數
斯坦頓數