數論格線求積分法
正文
高維數值積分數論方法研究開始於20世紀50年代末,其理論基礎是數論中的一致分布論。命Us表示 s維單位立方體。假定
是Us上定義的函式,並假定
存在且其絕對值以C為界。命
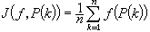
是Us中具有偏差D(n)的點集。所謂數論方法就是用被積函式在p(k) (1≤k≤n)上值的算術平均 


① 科羅博夫-勞卡方法 命p表示素數,a=(α1,α2,…,αs)表示整數向量,科羅博夫和E.勞卡證明了,對於任意p,皆存在a,使點集

。也就是說用點集Q(k)(1≤k≤p)構造的求積公式有誤差
。對於p求出a的計算量為O(p2)次初等運算。因此當p較大時,算出a來很困難。 ② 分圓域方法 分圓域
是一個
次代數數域。利用
的獨立單位組可得它的一個適合於 
表示nl的共軛數。如果使 


沒有困難,但缺點是誤差略為偏大些。 當2≤s≤18時,上述的p、a、nl和h都已彙編成表,可供查閱。
數論方法得到的求積公式的誤差主階均與維數無關,所以當s較大時,用數論方法近似計算Us上的定積分比較合算。
參考書目
華羅庚、王元著:《數論在近似分析中的套用》,科學出版社,北京,1978。

