簡介
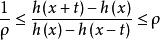
擬對稱函式設h(x)是實軸上嚴格單調上升的連續函式,如果對一切x,t,t>0,對某一ρ成立,則稱h(x)為ρ擬對稱函式。
意義
擬對稱函式ρ擬對稱函式完全刻畫了上半平面的擬共形映射,容易看出,任何一個上半平面的擬共形映射在實軸上的限制滿足ρ擬對稱性;反之,博靈(Beurling,A.)與阿爾福斯(Ahlfors,L.V.)證明了任一實軸上的ρ擬對稱函式h(x)總可以擴張為上半平面的擬共形映射,他們通過h構造重要的擬共形映射(稱為博靈-阿爾福斯擴張),指出f是h的同胚擴張,而且是ρ 擬共形映射。
在空間中也有類似的擴張問題。
擬共形映射
擬共形映射又稱 擬保角映射,原本是複分析中的一套技術手段,現已發展為一套獨立學科。其定義如下:
擬對稱函式
擬對稱函式
擬對稱函式固定實數 K> 0。設 D, D' 為平面上的開子集,連續可微函式保持定向。若在每一點上其導數將圓映至離心率小於等於 K之橢圓,則稱為 K-擬共形映射,由此可見共形映射是 1-擬共形映射。
擬對稱函式
擬對稱函式若存在 K使為擬共形映射,則稱為 擬共形映射。
