介紹
數學上,度量空間之間的 擬對稱映射,是雙利普希茨映射的一個推廣。雙利普希茨映射把一個集合的直徑擴大或縮小不超過某常數倍,而擬對稱映射就適合一個較弱的幾何性質,就是保持了集合的相對大小:如果集合 A和 B有直徑 t,其間距離不超過 t,那么這兩個集合的大小的比例改變不超過某常數倍。擬對稱映射和擬共形映射也有關係,因為在很多情況這兩者其實等價。
定義
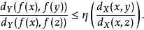
設( X, d)和( Y, d)是度量空間。一個同胚 f: X→ Y稱為 η-擬對稱,若有一個遞增函式 η:[0,∞)→[0,∞),使得對 X中任何三個不同的點 x, y, z都有
擬對稱映射基本性質
(1)逆映射是擬對稱的:
若 f: X→ Y是可逆 η-擬對稱映射,則其逆映射是 η-擬對稱,其中 η( t)=1/ η(1/ t).
(2)擬對稱映射保持集合的相對大小:
擬對稱映射若 A和 B是 X的子集, A是 B的子集,則
