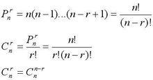
排列數公式
排列
排列數公式公式P是排列公式,從N個元素取M個進行排列(即排序)。(P是舊用法,現在教材上多用A,即Arrangement)
公式
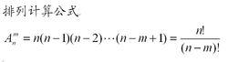
排列及計算公式 從n個不同元素中,任取m(m≤n)個元素按照一定的順序排成一列,叫做從n個不同元素中取出m個元素的一個排列;從n個不同元素中取出m(m≤n)個元素的所有排列的個數,叫做從n個不同元素中取出m個元素的排列數,用符號 p(n,m)表示。 p(n,m)=n(n-1)(n-2)……(n-m+1)= n!/(n-m)!(規定0!=1)
符號
1、C-組合數
A-排列數(在舊教材為P)N-元素的總個數
R-參與選擇的元素個數
!-階乘,如5!=5×4×3×2×1=120C-Combination 組合
P-Permutation排列 (現在教材為A-Arrangement)
2、排列組合常見公式
kCn/k=nCn-1/k-1(a/b,a在下,b在上)Cn/rCr/m=Cn/mCn-m/r-m
基本理論和公式
排列與元素的順序有關,組合與順序無關。如231與213是兩個排列,2+3+1的和與2+1+3的和是一個組合。
(一)兩個基本原理是排列和組合的基礎
(1)加法原理:做一件事,完成它可以有n類辦法,在第一類辦法中有m1種不同的方法,在第二類辦法中有m2種不同的方法,……,在第n類辦法中有mn種不同的方法,那么完成這件事共有N=m1+m2+m3+…+mn種不同方法.
(2)乘法原理:做一件事,完成它需要分成n個步驟,做第一步有m1種不同的方法,做第二步有m2種不同的方法,……,做第n步有mn種不同的方法,那么完成這件事共有N=m1×m2×m3×…×mn種不同的方法. 這裡要注意區分兩個原理,要做一件事,完成它若是有n類辦法,是分類問題,第一類中的方法都是獨立的,因此用加法原理;做一件事,需要分n個步驟,步與步之間是連續的,只有將分成的若干個互相聯繫的步驟,依次相繼完成,這件事才算完成,因此用乘法原理. 這樣完成一件事的分“類”和“步”是有本質區別的,因此也將兩個原理區分開來.
(二)排列和排列數
(1)排列:從n個不同元素中,任取m(m≤n)個元素,按照一定的順序排成一列,叫做從n個不同元素中取出m個元素的一個排列.
從排列的意義可知,如果兩個排列相同,不僅這兩個排列的元素必須完全相同,而且排列的順序必須完全相同,這就告訴了我們如何判斷兩個排列是否相同的方法.
(2)排列數公式:從n個不同元素中取出m(m≤n)個元素的所有排列
當m=n時,為全排列Pnn=n(n-1)(n-2)…3·2·1=n!
排列數公式
