概念解析
拋物面是二次曲面的一種。拋物面有兩種: 橢圓拋物面和 雙曲拋物面。橢圓拋物面在笛卡兒坐標系中的方程為:
拋物面雙曲拋物面在笛卡兒坐標系中的方程為:
拋物面例子
在車燈、手電筒等照明器具以及雷達中套用得非常多。他們的反光面或者反射面都是拋物面。
性質
當 a = b時,曲面稱為 鏇轉拋物面,它可以由拋物線繞著它的軸鏇轉而成。它是拋物面反射器的形狀,把光源放在焦點上,經鏡面反射後,會形成一束平行的光線。反過來也成立,一束平行的光線照向鏡面後,會聚集在焦點上。
曲率
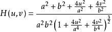
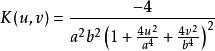
橢圓拋物面的參數方程為:
拋物面高斯曲率為:
拋物面平均曲率為:
拋物面它們都是正數,在頂點處最大,越遠離頂點曲率越小,並趨近於零。
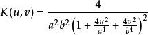
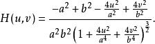
雙曲拋物面的參數方程為:
拋物面高斯曲率為:
拋物面平均曲率為:
拋物面
