基本介紹
迴轉拋物面(paraboloid surface of revolution)是一種曲線迴轉面,以拋物線為母線,繞它本身的軸迴轉而成的曲線迴轉面稱為 迴轉拋物面,如圖1所示,其投影圖如圖2所示,V面投影的輪廓線就是拋物線本身,而H面投影的輪廓線是圓 。
圖1
圖2迴轉面
迴轉拋物面
迴轉拋物面
迴轉拋物面迴轉面是由一條曲線 繞一條固定直線 在空間轉動一周所產生的曲面,又稱旋轉面。曲線Γ叫做迴轉面的 母線,直線 叫做迴轉面的 迴轉軸。取迴轉軸為Z軸,母線為
迴轉拋物面的迴轉面方程是
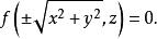
迴轉拋物面例如,以曲線
迴轉拋物面為母線,Z軸為迴轉軸的迴轉面方程是
迴轉拋物面當母線是平面曲線,且軸在這曲線所在的平面上時,以軸為界的半平面叫做 經平面,它與曲面的交線叫做 經線( 子午線);與軸垂直的平面叫做 緯平面,它與曲面的交線叫做 緯線 (平行圈)。旋轉曲面的所有經線都相同,而緯線則是以軸為聯心線的一組圓 。
迴轉形式的二次曲面
如圖3所示,以OZ為旋轉軸,在V面中選取曲面的母線。則在圖3 (a)中,曲面的母線為兩平行於OZ軸的直線,其方程為
迴轉拋物面在圖3(b) 中,曲面的母線為兩相交直線,OZ軸平分這兩直線所夾之角,曲面母線的方程為
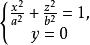
迴轉拋物面在圖3(c)中,曲面的母線為一橢圓(或圓),其方程為
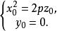
迴轉拋物面在圖3(d) 中,曲面的母線為一拋物線,其方程為
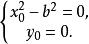
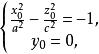
迴轉拋物面在圖3(e) 中,有三種曲面的母線,其中兩種為雙曲線,另一種是它們的漸近線。這三種曲面母線的方程分別為
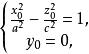
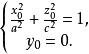
迴轉拋物面
迴轉拋物面
迴轉拋物面
圖3
圖3
圖3(e)可得上述幾種母線所形成的迴轉面的方程依次為:
迴轉拋物面(1) 圓柱面:
迴轉拋物面(2) 圓錐面:
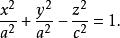
迴轉拋物面(3)迴轉橢球面:
迴轉拋物面(4)拋物迴轉面:
迴轉拋物面(5)單葉雙曲迴轉面:
迴轉拋物面(6)雙葉雙曲面迴轉面:
應當注意,當a=c時,迴轉橢球面就變為球面了。
可以證明,在圖3 (e) 中,經過圓錐面錐頂的截平面與圓錐面的截交線——直線正是該截平面與其它兩種曲面的截交線的漸近線。
上述六種曲面概括了所有迴轉形式的二次曲面,也就是說,任意一個迴轉形式的二次曲面一定為上述六種曲面中的一種 。

